патент
№ RU 2571363
МПК H01Q25/00

СПОСОБ УПРАВЛЕНИЯ ИНЕРЦИОННЫМ ПРИВОДОМ АНТЕННЫ, ОБЕСПЕЧИВАЮЩИЙ УСТОЙЧИВОЕ СОПРОВОЖДЕНИЕ ИНТЕНСИВНО МАНЕВРИРУЮЩИХ И ВЫСОКОСКОРОСТНЫХ ВОЗДУШНЫХ ОБЪЕКТОВ

Авторы:
Сузанский Дмитрий Николаевич Васильев Александр Владимирович Меркулов Владимир Иванович
Все (5)
Номер заявки
2014102723/08
Дата подачи заявки
29.01.2014
Опубликовано
20.12.2015
Страна
RU
Как управлять
интеллектуальной собственностью
Чертежи 
5
Реферат

Изобретение относится к радиоэлектронным системам сопровождения, в частности к следящим системам по направлению (измерителям углов и угловых скоростей линии визирования), в которых используется инерционный привод антенны, и может быть использовано для эффективного управления инерционными следящими системами по направлению в режиме сопровождения различных воздушных объектов, включая интенсивно маневрирующие. Технический результат - повышение точности и устойчивости сопровождения по направлению интенсивно маневрирующих объектов (ИМО). Для этого способ учитывает в законе управления угловую скорость линии визирования, ее первую и вторую производные, а также инерционные свойства привода антенны, при этом в способе в сигнале управления дополнительно учитываются скорость линии визирования, ее первая и вторая производные. 6 ил.

Формула изобретения

Способ управления инерционным приводом антенны, состоящий в том, что формируют сигналы ошибок сопровождения по пеленгу и угловой скорости цели вычитанием из значения оцененного сигнала пеленга цели значения оцененного сигнала угла поворота антенны и вычитанием из значения оцененного сигнала угловой скорости цели значения оцененного сигнала угловой скорости поворота антенны , усиливая их постоянными коэффициентами и , зависящими от свойств привода антенны, отличающийся тем, что дополнительно учитывают в сигнале оценки угловой скорости линии визирования , ее первой и второй производных, усиленные различными коэффициентами , и , зависящими от параметров привода антенны угломера, и складывают их с усиленными сигналами ошибок сопровождения , образуя сигнал управления приводом антенны
,
где и - оценки угла поворота антенны и ее угловой скорости, и - оценки пеленга цели и угловой скорости линии визирования, и - оценки первой и второй производных угловой скорости линии визирования, T - постоянная времени привода угломера, b - коэффициент усиления привода угломера, p12 и p22 - весовые коэффициенты оценки текущего состояния, k - коэффициент штрафа за величину сигнала управления.

Описание

[2]

Изобретение относится к радиоэлектронным системам сопровождения, в частности к следящим системам по направлению, и может быть использовано для эффективного управления инерционными приводами антенн следящих угломеров в режиме сопровождения различных воздушных объектов, в том числе и интенсивно маневрирующие.

[3]

Необходимо подчеркнуть, что использование следящих угломеров с электромеханическим приводом по-прежнему остается актуальным, особенно в летательных системах одноразового применения.

[4]

Существующие системы радиолокационного сопровождения с электромеханическим приводом базируются на использовании следящих систем с астатизмом второго (редко - третьего) порядка. Применение в них типовых алгоритмов автоматического сопровождения приводит к существенному несоответствию динамических свойств интенсивно маневрирующих объектов (ИМО) и бортовых систем сопровождения. Это обусловливает отсутствие устойчивого сопровождения объектов при появлении в законах изменения сопровождаемых координат (дальности, углов) производных третьего и более высоких порядков.

[5]

Из известных технических решений наиболее близким является способ управления приводом антенны в угломере, приведенный в [2]. В данном алгоритме сигнал управления учитывает ошибки сопровождения по углу и угловой скорости в соответствии с формулой:

[6]

[7]

где: ua - сигнал управления приводом антенны; Kφ - постоянный коэффициент усиления, определяющий вес ошибки управления по углу Δϕ=(ϕцϕа); ϕц - оценка пеленга цели; ϕа - оценка угла поворота антенны;

[8]

Kω - постоянный коэффициент усиления, определяющий вес сигнала Δω=(ωцωа) ошибки сопровождения по угловой скорости; ωц - оцененная угловая скорость цели; ωа - оцененная угловая скорость привода антенны.

[9]

Недостатками прототипа являются:

[10]

1. При используемом в угломере способе управления приводом антенны недостаточно учитывается несоответствие динамических свойств цели и угломера.

[11]

2. Низкая устойчивость сопровождения при появлении в законах изменения сопровождаемых координат производных третьего и более высоких порядков.

[12]

Эти недостатки обусловлены тем, что в данном алгоритме не учитывается угловая скорость линии визирования. Их можно уменьшить, если управлять динамичностью РЛС с целью приближения ее к динамичности ЛА. Для этого необходимо использовать закон управления РЛС, на стадии синтеза которого будут скомпенсированы инерционные свойства следящей системы. Этого можно достичь учетом угловой скорости линии визирования и ее производных в сигнале управления приводом антенны.

[13]

Таким образом, задачей изобретения является разработка способа формирования сигнала управления приводом антенны, обеспечивающего высокоточное, устойчивое сопровождение интенсивно маневрирующих целей по направлению, без изменения конструкции привода.

[14]

Поставленная задача достигается тем, что сигнал управления, формируемый взвешенной суммой ошибок сопровождения по углу и угловой скорости, дополняется слагаемыми, учитывающими угловую скорость линии визирования и ее производные, вес которых зависит от соотношения коэффициентов усиления привода и его постоянной времени.

[15]

Технический результат, который может быть получен от использования предлагаемого изобретения, заключается в обеспечении высокой точности и устойчивости сопровождения по направлению ИМО.

[16]

Сущность предлагаемого изобретения заключается в разработке формирователя сигнала управления приводом антенны, обеспечивающего бессрывное высокоточное сопровождение ИМО. Для решения поставленной задачи воспользуемся математическим аппаратом СТОУ. Это позволяет [1] для системы

[17]

[18]

предназначенной для отработки процесса

[19]

[20]

сформировать сигнал управления

[21]

[22]

[23]

[24]

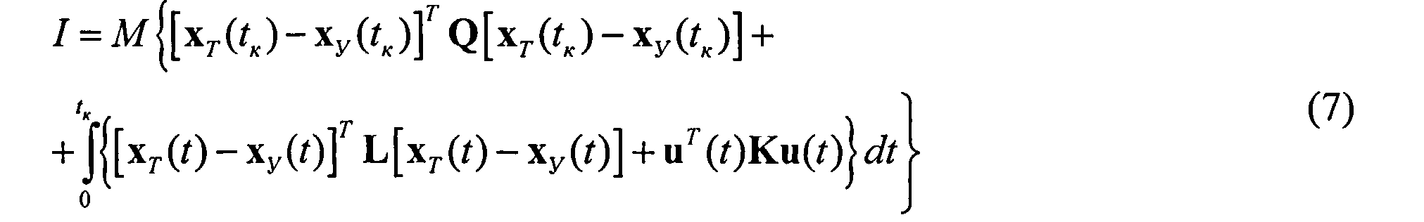
оптимальный по минимуму локального функционала качества

[25]

[26]

B(2)-(7):

[27]

t - текущее время,

[28]

xT, и xY - n-мерные векторы состояния цели и следящей системы,

[29]

FT и FY - динамические матрицы внутренних связей соответствующих векторов состояния,

[30]

u - r-мерный (r≤n) вектор сигналов управления,

[31]

BY - матрица эффективности r-мерного вектора управления u,

[32]

ξУ и ξТ - векторы шумов состояния,

[33]

Q - неотрицательно определенная матрица штрафов за ошибки в момент времени tK окончания управления,

[34]

L - матрица штрафов за ошибки в текущий момент времени t,

[35]

K - положительно определенная матрица штрафов за величину сигналов вектора управления u,

[36]

PY - матрица весовых коэффициентов текущего состояния xY,

[37]

ρ - оценка вектора, учитывающего внешние воздействия xT,

[38]

xT и xY - оптимальные оценки векторов xT и xY.

[39]

M - знак условного математического ожидания.

[40]

В дальнейшем для упрощения записей зависимость векторов и матриц от времени будет опущена.

[41]

Использование (4)-(6) не позволяет учесть в законе управления несоответствие динамических свойств цели и угломера. В связи с этим необходимо преобразовать исходное выражение к виду, в котором это несоответствие будет учтено. В общем случае несоответствие динамических свойств РЛС и цели можно выразить вектором ошибок:

[42]

[43]

изменение которого во времени можно найти посредством решения векторного уравнения:

[44]

[45]

Учитывая в (9) выражения (2) и (3) получим:

[46]

[47]

Решение этого неоднородного уравнения состоит из решения однородной части, определяемого первым слагаемым FYΔx, и частного решения неоднородного уравнения, определяемого вторым и третьим слагаемыми - BYu+(FT-FY)xT.

[48]

Отсюда следует, что выбором сигнала управления можно скомпенсировать несоответствие динамических свойств РЛС и цели. Если динамические свойства (2) РЛС соответствуют требуемым значениям (FY=FT), то ошибка будет убывать вплоть до нуля, со скоростью, определяемой динамическими свойствами РЛС (FY). В такой ситуации убывание можно ускорить за счет сигнала управления. Иначе, в случае несоответствия динамических свойств (FY≠FT), в решении (10) появляется вынужденная составляющая, и коррекция не всегда будет давать в пределе нулевую ошибку.

[49]

Найдем управляющий сигнал, который будет минимизировать ошибку сопровождения при FY≠FT. При использовании общих соотношений (4)-(6) для (10), полагая, что Δx=y получим:

[50]

[51]

где ξyu=(FT-FY)xT. Тогда сигнал управления:

[52]

[53]

[54]

[55]

Далее без ограничения общности будем полагать, что наведение осуществляется в горизонтальной плоскости. Воспользовавшись теоремой статистической эквивалентности [1], будем считать, что ξТ(t)=0 и ξУ(t)=0, при этом будем полагать, что используются высокоточные алгоритмы оптимальной фильтрации, при которых xT=xТ, xY=xY.

[56]

В качестве модели состояния системы сопровождения воспользуемся типовым уравнением привода антенны [2]:

[57]

[58]

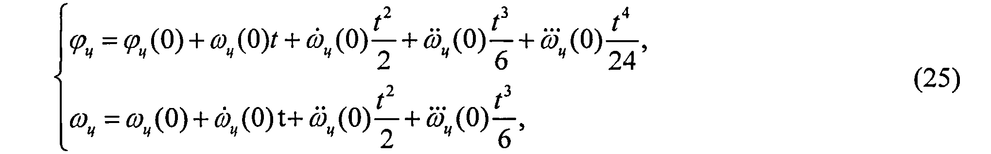
а в качестве модели движения цели используем кинематические уравнения [2]:

[59]

[60]

где φа и ωа - угол поворота антенны относительно продольной оси носителя и угловая скорость ее перемещения, T - постоянная времени привода угломера, b - коэффициент его усиления, φц и ωц - пеленг цели и угловая скорость линии визирования, ψ - курс носителя, Д и Д˙ - дальность до цели и ее производная, jц и jн - поперечные ускорения цели и носителя, ξа и ξц - шумы состояния привода и цели. Взаимное геометрическое расположение цели и носителя РЛС показано на фигуре 1, на котором точками Ooy и Oц показано расположение объекта управления (ОУ) и цели. Тогда, исходя из (8), (15) и (16) можно определить ошибки сопровождения по углу и скорости:

[61]

[62]

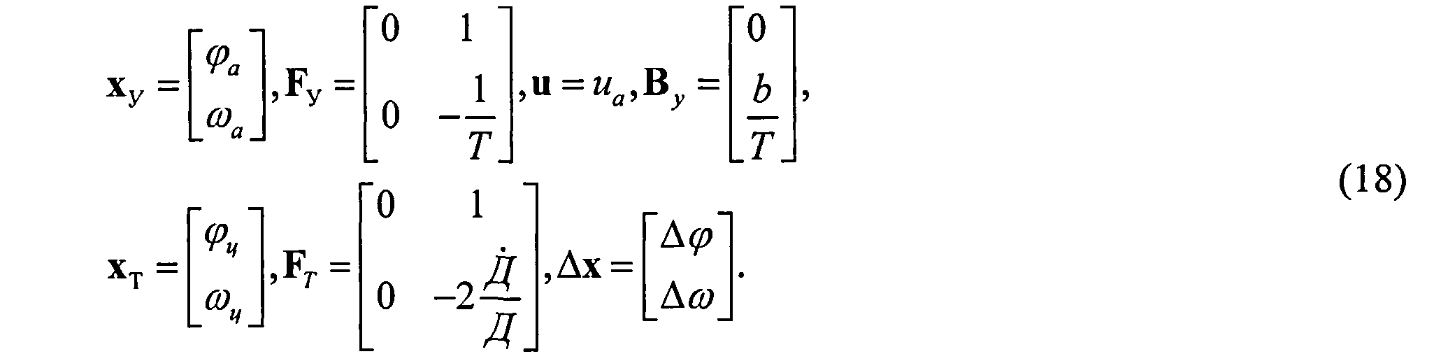
Сопоставляя (15)-(17) и (2), (3), запишем в явном виде векторы состояния и динамические матрицы связей системы:

[63]

[64]

В свою очередь несоответствие динамических свойств РЛС и цели определяется матрицей:

[65]

[66]

Из (19) следует, что для соответствия динамических свойств цели и следящей системы необходимо выполнение условия T=2Д/Д˙. Однако, при T=const обеспечить это условие невозможно, поскольку Д и Д˙ меняются в процессе сопровождения. В связи с этим, целесообразно для решения этой задачи использовать расчет сигнала управления по правилу (12)-(14), при условии, что матрицы PY, Q, L и вектор ρ введены в общем виде:

[67]

[68]

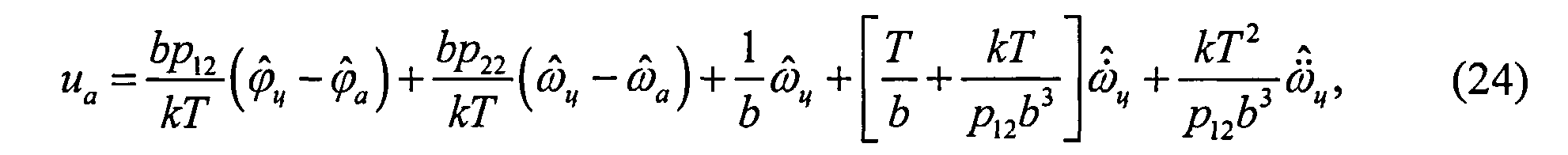
Тогда используя (19) и (20) в формулах (12)-(14), получим:

[69]

[70]

[71]

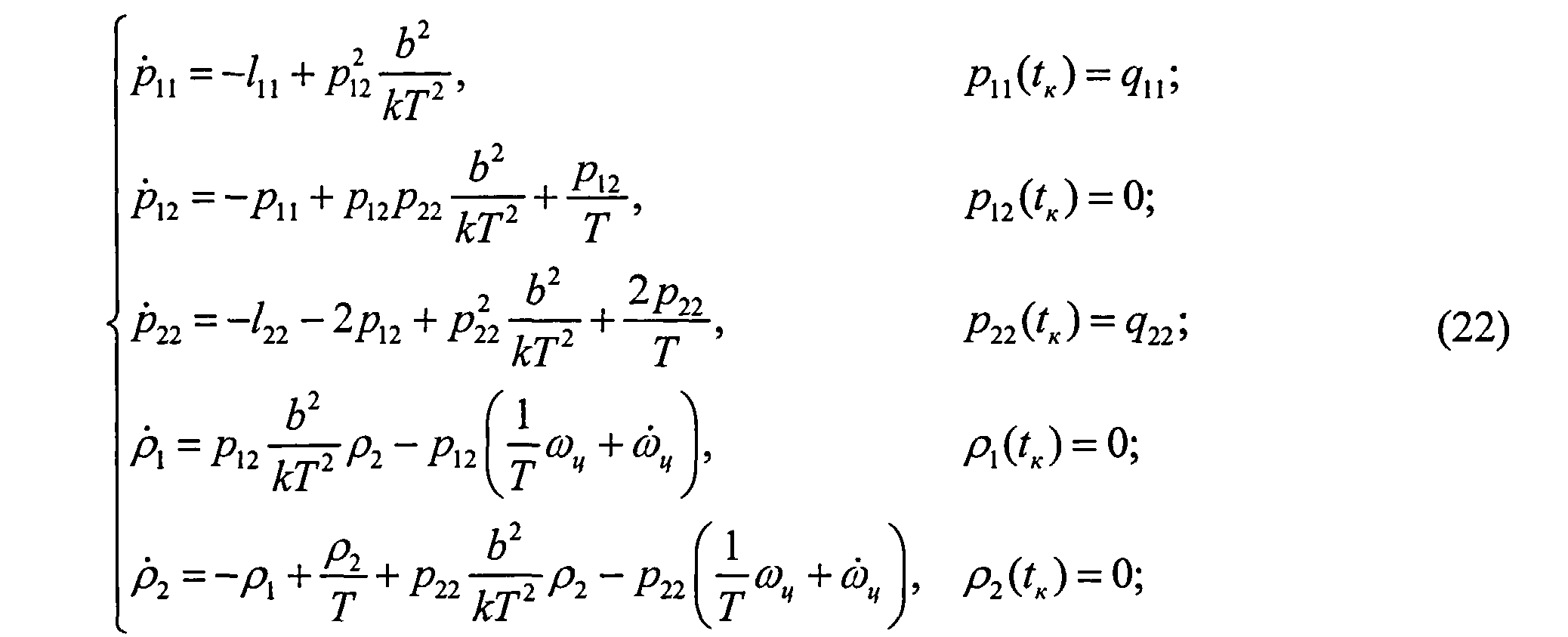
Можно заметить, что система уравнений (22), не решаемая в общем случае в аналитическом виде, должна решаться численно в обратном времени. Следовательно, сигнал управления (21) не может быть получен в режиме реального времени. Однако может быть найдено стационарное решение системы (22) при условии p˙11=0, p˙12=0, p˙22=0, которое имеет место при t<<tк.

[72]

Поскольку момент окончания управления неизвестен, то будет достаточно выбрать конечное время работы системы заведомо больше максимально возможного времени работы следящей системы.

[73]

[74]

В таком случае можно считать, что требуемое условие будет выполняться на всем участке работы следящей системы

[75]

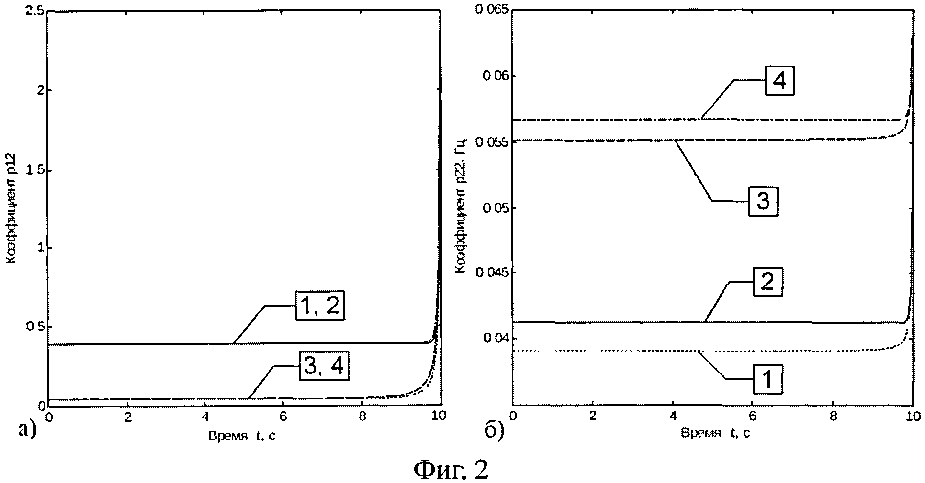
Графики зависимостей p12 и p22, используемых в (21), для некоторых соотношений коэффициентов штрафов показаны на фигурах 2а, б. При этом номера 1, 2, 3, 4 кривых соответствуют парам соотношений 1) (m1, n1); 2) (m2, n1); 3) (m1, n2); 4) (m2, n2), где mi=l11/k, ni=l22/k, i=1, 2, m2=100m1, n2=2n1. Установившийся характер этих зависимостей на большей части временного диапазона показывает справедливость сделанных нами допущений (23).

[76]

Анализ переходных процессов, имеющих место при вычислении p12, p22, при различных соотношениях коэффициентов штрафов свидетельствуют о том, что время регулирования не превышает двух секунд (фигуры 2а, б). Принимая во внимание условие (23) можно утверждать, что в течение всего времени работы tРЛС, значения p12, p22 будут постоянными. Это дает возможность при вычислении (21) использовать их установившееся значение. Тогда:

[77]

[78]

где были учтены выводы теоремы статистической эквивалентности о замене координат состояния их оценками [2].

[79]

Анализ закона управления (24) позволяет сделать следующие заключения.

[80]

1. Полученный закон отличается от прототипа (1) тем, что в нем учтена угловая скорость линии визирования и ее производные.

[81]

2. Варьируя значениями коэффициентов b, p12, p22, k, T можно получить широкий спектр законов управления, обеспечивающих сопровождение ИМО, адаптированных под конкретный тип привода антенны.

[82]

3. Для реализации полученного закона сопровождения в угломере требуется оценивать пеленг цели, угол поворота антенны, угловую скорость линии визирования, ее первую и вторую производные, что позволяет скомпенсировать его инерционность.

[83]

4. Предложенный алгоритм управления инерционным приводом угломера не накладывает принципиальных ограничений на возможность его реализации.

[84]

На основе результатов проведенного анализа следует отметить, что описанный способ управления приводом следящего угломера, в котором дополнительно учитываются угловая скорость и ее производные, является принципиально новым, устраняя недостатки и негативные последствия применения классических методов управления в существующих системах сопровождения по направлению, обеспечивая устойчивое высокоточное сопровождение ИМО. Также следует отметить, что информационное обеспечение алгоритма управления (24) может быть осуществлено в существующих угломерах с учетом реальных ограничений, что свидетельствует о возможности практической реализации метода.

[85]

Технический результат, который может быть получен от использования предлагаемого изобретения, заключается в обеспечении высокой точности и устойчивости сопровождения по направлению ИМО. При этом сигнал управления является функцией не только ошибок сопровождения, но и угловой скорости линии визирования, ее первой и второй производных, что собственно и позволяет учесть и скомпенсировать инерционность привода угломера. В этом случае инерционный угломер способен сопровождать цель, двигающуюся по сложному закону.

[86]

Проверка работоспособности предложенного способа управления приводом антенны осуществлялась в процессе имитационного моделирования маневра цели и движения антенны в соответствии с моделью (15). Для управления приводом антенны использовались предложенный алгоритм (24) и прототип (1).

[87]

1. Алгоритм способен отрабатывать начальные ошибки сопровождения любого знака и в любом сочетании, что иллюстрируется графиками зависимостей относительных ошибок сопровождения цели по пеленгу и угловой скорости приведенными на фигуре 3, где различными линиями (сплошная, пунктирная, штриховая, штрихпунктирная) изображены зависимости для различных знаков ошибок захвата: 1) Δφ(0)<0, Δω(0)<0; 2) Δφ(0)>0, Δω(0)<0; 3) Δφ(0)>0, Δω(0)>0; 4) Δφ(0)<0, Δω(0)>0.

[88]

2. На фигуре 4 показано, что предложенный алгоритм способен сопровождать цели, двигающиеся по сложному закону, содержащему производные углов и угловых скоростей высоких порядков:

[89]

[90]

что иллюстрируется графиками зависимостей ошибок сопровождения цели по углу и по угловой скорости при использовании прототипа (пунктирная линия) и предложенного алгоритма (сплошная линия).

[91]

3. Сигнал управления способен обеспечить сопровождение цели, двигающейся по синусоидальному закону, характерному для гиперзвуковых летательных аппаратов:

[92]

[93]

что иллюстрируется графиками зависимостей ошибок сопровождения цели по углу и по угловой скорости при использовании прототипа (пунктирная линия) и предложенного алгоритма (сплошная линия) приведены на фигуре 5, где пеленг цели изменяется по синусоидальному закону.

[94]

Таким образом, на основании проведенных исследований можно сделать вывод, что алгоритм способен сопровождать цели, двигающиеся по любым законам.

[95]

В более общем виде алгоритм (24) можно представить в виде

[96]

,

[97]

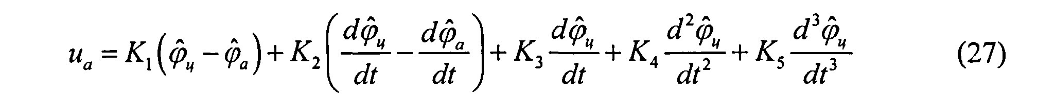
где ϕа, dϕаdt - оценка угла поворота антенны и его производная; ϕц, dϕцdt, d2ϕцd2t, d3ϕцd3t - оценка пеленга цели и его производные; K1=bp12kT, K2=bp22kT, K3=1b, K4=Tb+kTp12b3, K5=kT2p12b3 - постоянные коэффициенты, зависящие от параметров привода антенны, определяющие вес измеряемых сигналов в сигнале управления приводом антенны.

[98]

Пример структурной схемы угломера, в котором использован закон управления (24), приведен на фигуре 6, где:

[99]

1 - датчик положения антенны

[100]

2 - привод угломера

[101]

3 - фильтр датчика положения антенны

[102]

4 - пеленгатор

[103]

5, 6 - вычитающие устройства

[104]

7 - фильтр угломера

[105]

8, 9, 10, 11, 12 - усилители

[106]

13 - сумматор

[107]

Примечание: двойная пунктирная линия обозначает механическую связь.

[108]

Функциональное назначение представленной на фигуре 6 структурной схемы системы управления приводом угломера заключается в формировании сигнала ошибки сопровождения по углу Δϕ=(ϕцϕа), вычитанием из значения оценки пеленга цели ϕц значения оценки угла поворота антенны ϕа и усиление его постоянным K1, зависящим от свойств привода антенны, формировании сигнала ошибки сопровождения по угловой скорости Δω=(ωцωа), вычитанием из значения оценки угловой скорости цели ωц значения оценки угловой скорости поворота антенны ωа и усиление его постоянным K2, зависящим от свойств привода антенны, формировании сигнала ошибки сопровождения по угловой скорости Δω=(ωцωа), вычитанием из значения оценки угловой скорости цели ωц значения оценки угловой скорости поворота антенны ωа и усиление его постоянным K2, зависящим от свойств привода антенны, формировании сигналов оценки угловой скорости цели ωц, его первой ω˙ц и второй производной ω¨ц, усилении их коэффициентами K3, K4, K5 соответственно. Коэффициенты назначают на стадии разработки угломера и по их значениям определяют коэффициенты усиления соответствующих усилителей.

[109]

Использование изобретения позволит осуществлять в угломерах высокоточное устойчивое сопровождение сверхманевренных целей по направлению при использовании обычных инерционных приводов антенн, не требуя изменения конструкции привода антенны.

[110]

Кроме того, заявленный способ формирования сигнала управления инерционным приводом антенны позволяет получить большое количество реализации, адаптированных под конкретный вид привода антенны и требуемый закон изменения сопровождаемых координат. Причем эти реализации, соответствующие в общем случае соотношению (24), будут отличаться лишь значениями весовых коэффициентов.

[111]

ЛИТЕРАТУРА

[112]

1. Меркулов В.И., Дрогалин В.В., Канащенков А.И. и др. Авиационные системы радиоуправления. T.1. Принципы построения систем радиоуправления. Основы синтеза и анализа. / Под ред. А.И. Канащенкова и В.И. Меркулова. - М.: Радиотехника, 2003.

[113]

2. Меркулов В.И. [и др.]. Авиационные системы радиоуправления. Т.2. Радиоэлектронные системы самонаведения. Под ред. А.И. Канащенкова и В.И. Меркулова. - М. Радиотехника, 2003. - 390 с.

Как компенсировать расходы
на инновационную разработку
Похожие патенты