патент
№ RU 2434304
МПК G08C19/28

СПОСОБ ЦИФРОВОЙ ПЕРЕДАЧИ ИНФОРМАЦИИ

Авторы:
Шемигон Николай Николаевич
Номер заявки
2010144987/08
Дата подачи заявки
03.11.2010
Опубликовано
20.11.2011
Страна
RU
Как управлять
интеллектуальной собственностью
Реферат

Изобретение относится к телеметрии, технике связи, а также к системам передачи информации по цифровым каналам связи. Технический результат состоит в повышении точности передачи информации при фиксированных значениях динамического диапазона значений первичного сигнала и скорости передачи информации. На передающей стороне с помощью источника 1 информации формируют первичный сигнал, с помощью определителя 2 погрешности квантования формируют разностный первичный сигнал, с помощью усилителя 3 усиливают разностный первичный сигнал в 2n раз, с помощью аналого-цифрового преобразователя 4 формируют последовательность кодовых слов, сформированную последовательность кодовых слов передают с передающей стороны по каналу 5 связи на приемную сторону, на приемной стороне с помощью преобразователя 6 кода определяют приращение значения каждого принятого кодового слова по отношению к значению предыдущего принятого кодового слова и преобразуют значения кодовых слов. 1 табл., 1 ил.

Формула изобретения

Способ цифровой передачи информации, заключающийся в том, что на передающей стороне формируют первичный сигнал с динамическим диапазоном 2n значений, формируют разностный первичный сигнал, формируют последовательность кодовых слов, содержащих n двоичных символов, путем аналого-цифрового преобразования разностного первичного сигнала, выполняемого с выбранной частотой дискретизации с шагом квантования, в 2n раз меньшим шкалы значений первичного сигнала, передают сформированную последовательность кодовых слов по каналу связи на приемную сторону, на приемной стороне принимают полученную последовательность кодовых слов, формируют восстановленную последовательность выборок разностного первичного сигнала путем такого преобразования последовательности кодовых слов, что значение каждой выборки разностного первичного сигнала равно значению соответствующего кодового слова, формируют восстановленную последовательность выборок первичного сигнала путем преобразования восстановленной последовательности выборок разностного первичного сигнала, для чего значение каждой восстановленной выборки первичного сигнала определяют путем суммирования значения предшествующей восстановленной выборки первичного сигнала и соответствующего значения каждой восстановленной выборки разностного первичного сигнала, восстанавливают первичный сигнал путем фильтрации полученной последовательности восстановленных выборок первичного сигнала с помощью фильтра нижних частот с частотой среза, равной половине выбранной частоты дискретизации, отличающийся тем, что на передающей стороне после формирования первичного сигнала формируют последовательность кодовых слов, содержащих n двоичных символов, путем аналого-цифрового преобразования первичного сигнала, выполняемого с выбранной частотой дискретизации с шагом квантования, в 2n раз меньшим шкалы значений первичного сигнала, формируют восстановленный первичный сигнал путем цифроаналогового преобразования сформированной последовательности кодовых слов, разностный первичный сигнал формируют путем вычитания из первичного сигнала восстановленного первичного сигнала, усиливают разностный первичный сигнал в 2n раз перед выполнением его аналого-цифрового преобразования, при этом на приемной стороне перед формированием восстановленной последовательности выборок разностного первичного сигнала определяют приращение значения каждого принятого кодового слова по отношению к значению предыдущего принятого кодового слова, после чего преобразуют полученную последовательность кодовых слов по следующему правилу: при превышении значением модуля приращения значения каждого принятого кодового слова значения половины шкалы значений первичного сигнала и при отрицательном значении указанного приращения значение каждого преобразованного кодового слова определяют путем суммирования значения соответствующего принятого кодового слова и значения шкалы первичного сигнала; при превышении значением модуля приращения значения каждого принятого кодового слова значения половины шкалы значений первичного сигнала и при положительном значении указанного приращения значение каждого преобразованного кодового слова определяют путем вычитания из значения соответствующего принятого кодового слова значения шкалы первичного сигнала; при превышении значения половины шкалы значений первичного сигнала значения модуля приращения значения каждого принятого кодового слова значение каждого преобразованного кодового слова равно значению соответствующего принятого кодового слова.

Описание

[1]

Изобретение относится к телеметрии, технике связи и может быть использовано в системах передачи информации по цифровым каналам связи.

[2]

Известен способ цифровой передачи информации, заключающийся в том, что на передающей стороне формируют первичный сигнал с динамическим диапазоном 2n значений, формируют последовательность кодовых слов, содержащих n двоичных символов, путем аналого-цифрового преобразования первичного сигнала, выполняемого с выбранной частотой дискретизации с шагом квантования, в 2n раз меньшим шкалы значений первичного сигнала, передают сформированную последовательность кодовых слов по каналу связи на приемную сторону, на приемной стороне принимают полученную последовательность кодовых слов, формируют восстановленную последовательность выборок первичного сигнала путем такого преобразования принятой последовательности кодовых слов, при котором значение каждой восстановленной выборки первичного сигнала равно значению соответствующего принятого кодового слова, восстанавливают первичный сигнал путем фильтрации полученной последовательности восстановленных выборок первичного сигнала с помощью фильтра нижних частот с частотой среза, равной половине частоты дискретизации [1].

[3]

Известный способ цифровой передачи информации предусматривает выполнение следующих операций:

[4]

формирование на передающей стороне первичного сигнала Sп(t) с динамическим диапазоном Dп=2n значений;

[5]

формирование на передающей стороне последовательности Sц(t)=∑Sц(t-iTд) кодовых слов, содержащих n двоичных символов, путем аналого-цифрового преобразования первичного сигнала Sп(t), выполняемого с периодом Tд дискретизации с шагом квантования d=Uш0/2n, в 2n раз меньшим шкалы Uш0 значений первичного сигнала Sп(t);

[6]

передачу сформированной последовательности Sц(t) кодовых слов по каналу связи на приемную сторону;

[7]

прием на приемной стороне полученной последовательности Sц(t) кодовых слов;

[8]

формирование на приемной стороне восстановленной последовательности выборок Sд(t)=∑Sп(t-iTд) первичного сигнала путем такого преобразования принятой последовательности Sц(t) кодовых слов, что значение каждой восстановленной выборки Sп(t-iTд) первичного сигнала равно значению соответствующего принятого кодового слова Sц(t-iTд);

[9]

восстановление на приемной стороне первичного сигнала Sп(t) путем фильтрации полученной последовательности восстановленных выборок Sд(t) первичного сигнала с помощью фильтра нижних частот с частотой среза Fср=Fд/2=1/(2Tд), равной половине частоты Fд дискретизации.

[10]

Динамический диапазон Dц=2n значений кодовых слов, передаваемых по каналу связи согласно известному способу цифровой передачи информации, совпадает с динамическим диапазоном Dп=2n значений первичного сигнала. Количество информации на одну передаваемую по каналу связи в цифровом виде выборку первичного сигнала при этом составляет Iп=log2(Dп)=n бит. Максимальное значение εмакс погрешности квантования передаваемых по каналу связи в цифровом виде выборок равно шагу квантования εмакс=d=Uш0/2n. При этом максимальное значение δмаксмакс/Uш0=1/2n относительной погрешности квантования при восстановлении на приемной стороне первичного сигнала обратно пропорционально динамическому диапазону Dп=2n значений первичного сигнала.

[11]

Недостатком известного способа цифровой передачи информации является недостаточная точность передачи информации при фиксированных динамическом диапазоне первичного сигнала и скорости передачи информации.

[12]

Наиболее близким к предлагаемому является известный способ цифровой передачи информации, заключающийся в том, что на передающей стороне формируют первичный сигнал с динамическим диапазоном 2n значений, формируют задержанный первичный сигнал путем задержки первичного сигнала на период дискретизации, формируют разностный первичный сигнал путем вычитания из первичного сигнала задержанного первичного сигнала, формируют последовательность кодовых слов, содержащих n двоичных символов, путем аналого-цифрового преобразования разностного первичного сигнала, выполняемого с выбранной частотой дискретизации с шагом квантования, в 2n раз меньшим шкалы значений первичного сигнала, передают сформированную последовательность кодовых слов по каналу связи на приемную сторону, принимают на приемной стороне полученную последовательность кодовых слов, формируют восстановленную последовательность выборок разностного первичного сигнала путем такого преобразования принятой последовательности кодовых слов, при котором значение каждой восстановленной выборки разностного первичного сигнала равно значению соответствующего принятого кодового слова, формируют восстановленную последовательность выборок первичного сигнала путем преобразования восстановленной последовательности выборок разностного первичного сигнала, для чего значение каждой восстановленной выборки первичного сигнала определяют путем суммирования значения предшествующей восстановленной выборки первичного сигнала и соответствующего значения восстановленной выборки разностного первичного сигнала, восстанавливают первичный сигнал путем фильтрации полученной последовательности восстановленных выборок первичного сигнала с помощью фильтра нижних частот с частотой среза, равной половине частоты дискретизации [2].

[13]

Известный способ цифровой передачи информации предусматривает выполнение следующих операций:

[14]

формирование на передающей стороне первичного сигнала Sп(t) с динамическим диапазоном Dп=2n значений;

[15]

формирование на передающей стороне задержанного на период Tд дискретизации первичного сигнала Sз(t)=Sп(t-Tд);

[16]

формирование на передающей стороне разностного первичного сигнала SΔ(t)=Sп(t)-Sз(t)=Sп(t)-Sп(t-Tд) путем вычитания из первичного сигнала Sп(t) задержанного первичного сигнала Sз(t);

[17]

формирование на передающей стороне последовательности Sц(t)=∑Sц(t-iTд) кодовых слов, содержащих n двоичных символов, путем аналого-цифрового преобразования разностного первичного сигнала SΔ(t), выполняемого с частотой Fд дискретизации с шагом квантования d=Uш0/2n, в 2n раз меньшим шкалы Uш0 значений первичного сигнала Sп(t);

[18]

передачу сформированной последовательности Sц(t) кодовых слов по каналу связи на приемную сторону;

[19]

прием на приемной стороне полученной последовательности Sц(t) кодовых слов;

[20]

формирование на приемной стороне восстановленной последовательности выборок SΔд(t)=∑SΔ(t-iTд)=∑Sп(t-iTд)-Sп(t-(i-1)Тд) разностного первичного сигнала путем такого преобразования принятой последовательности Sц(t) кодовых слов, что значение каждой восстановленной выборки SΔ(t-iTд) разностного первичного сигнала равно значению соответствующего принятого кодового слова Sц(t-iTд);

[21]

формирование на приемной стороне восстановленной последовательности выборок Sд(t)=∑Sп(t-iTд) первичного сигнала путем преобразования восстановленной последовательности выборок SΔд(t)=∑SΔ(t-iTд) разностного первичного сигнала, для чего значение Sп(t-iTд) каждой восстановленной выборки первичного сигнала определяют путем суммирования значения Sп[t-(i-1)Тд] предшествующей восстановленной выборки первичного сигнала и соответствующего значения SΔ(t-iTд) восстановленной выборки разностного первичного сигнала;

[22]

восстановление на приемной стороне первичного сигнала Sп(t) путем фильтрации полученной последовательности восстановленных выборок Sд(t) первичного сигнала с помощью фильтра нижних частот с частотой среза Fср=Fд/2, равной половине частоты дискретизации.

[23]

Известный способ цифровой передачи информации обеспечивает сокращение избыточности передаваемой информации за счет использования разностного представления передаваемых выборок. Однако при этом максимальное значение δмаксмакс/Uш0=1/2n относительной погрешности квантования при восстановлении на приемной стороне первичного сигнала также обратно пропорционально динамическому диапазону Dп=2n значений первичного сигнала. Поэтому недостатком известного способа цифровой передачи информации также является недостаточная точность передачи информации при фиксированных динамическом диапазоне первичного сигнала и скорости передачи информации.

[24]

Технический результат состоит в повышении точности передачи информации при фиксированных значениях динамического диапазона значений первичного сигнала и скорости передачи информации.

[25]

Для достижения указанного технического результата в способ цифровой передачи информации, заключающийся в том, что на передающей стороне формируют первичный сигнал с динамическим диапазоном 2n значений, формируют разностный первичный сигнал, формируют последовательность кодовых слов, содержащих n двоичных символов, путем аналого-цифрового преобразования разностного первичного сигнала, выполняемого с выбранной частотой дискретизации с шагом квантования, в 2n раз меньшим шкалы значений первичного сигнала, передают сформированную последовательность кодовых слов по каналу связи на приемную сторону, на приемной стороне принимают полученную последовательность кодовых слов, формируют восстановленную последовательность выборок разностного первичного сигнала путем такого преобразования последовательности кодовых слов, что значение каждой выборки разностного первичного сигнала равно значению соответствующего кодового слова, формируют восстановленную последовательность выборок первичного сигнала путем преобразования восстановленной последовательности выборок разностного первичного сигнала, для чего значение каждой восстановленной выборки первичного сигнала определяют путем суммирования значения предшествующей восстановленной выборки первичного сигнала и соответствующего значения каждой восстановленной выборки разностного первичного сигнала, восстанавливают первичный сигнал путем фильтрации полученной последовательности восстановленных выборок первичного сигнала с помощью фильтра нижних частот с частотой среза, равной половине выбранной частоты дискретизации, введены новые операции, а именно: на передающей стороне после формирования первичного сигнала формируют последовательность кодовых слов, содержащих n двоичных символов, путем аналого-цифрового преобразования первичного сигнала, выполняемого с выбранной частотой дискретизации с шагом квантования, в 2n раз меньшим шкалы значений первичного сигнала, формируют восстановленный первичный сигнал путем цифроаналогового преобразования сформированной последовательности кодовых слов, разностный первичный сигнал формируют путем вычитания из первичного сигнала восстановленного первичного сигнала, усиливают разностный первичный сигнал в 2n раз перед выполнением его аналого-цифрового преобразования, при этом на приемной стороне перед формированием восстановленной последовательности выборок разностного первичного сигнала определяют приращение значения каждого принятого кодового слова по отношению к значению предыдущего принятого кодового слова, после чего преобразуют полученную последовательность кодовых слов по следующему правилу: при превышении значением модуля приращения значения каждого принятого кодового слова значения половины шкалы значений первичного сигнала и при отрицательном значении указанного приращения значение каждого преобразованного кодового слова определяют путем суммирования значения соответствующего принятого кодового слова и значения шкалы первичного сигнала; при превышении значением модуля приращения значения каждого принятого кодового слова значения половины шкалы значений первичного сигнала и при положительном значении указанного приращения значение каждого преобразованного кодового слова определяют путем вычитания из значения соответствующего принятого кодового слова значения шкалы первичного сигнала; при превышении значения половины шкалы значений первичного сигнала значения модуля приращения значения каждого принятого кодового слова значение каждого преобразованного кодового слова равно значению соответствующего принятого кодового слова.

[26]

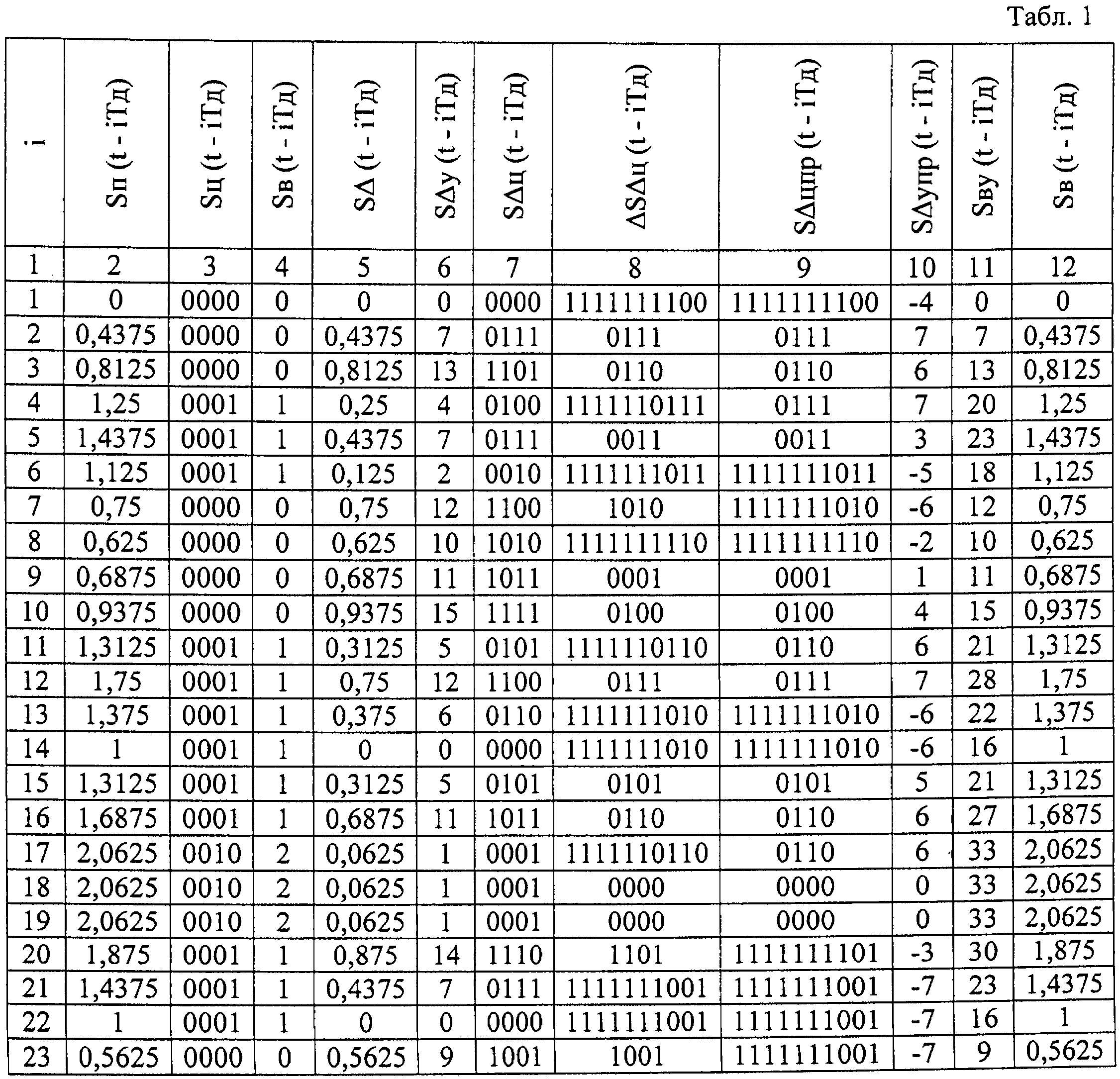
На чертеже представлена структурная схема системы цифровой передачи информации, реализующей предлагаемый способ, в табл.1 представлены значения сигналов в сечениях данной схемы в разные моменты дискретизации (i=1,…,23) для частного случая n=4.

[27]

Система цифровой передачи информации на передающей стороне содержит последовательно соединенные источник 1 информации, определитель 2 погрешности квантования, усилитель 3 и аналого-цифровой преобразователь 4, выход которого соединен с входом канала 5 связи.

[28]

Система цифровой передачи информации на приемной стороне содержит последовательно соединенные преобразователь 6 кода, вход которого соединен с выходом канала 5 связи, интегрирующий цифроаналоговый преобразователь 7 и получатель 8 информации.

[29]

Система цифровой передачи информации, реализующая предлагаемый способ, функционирует следующим образом.

[30]

На передающей стороне с помощью источника 1 информации формируют первичный сигнал Sп(t) с динамическим диапазоном Dп=2n значений. Значения Sп(t-iTд) первичного сигнала Sп(t) в различные моменты дискретизации (i=1,…,23) приведены в столбце 2 табл.1.

[31]

Сформированный первичный сигнал Sп(t) подают с выхода источника 1 информации на вход определителя 2 погрешности квантования, с помощью которого выполняют следующие операции: формируют последовательность Sц(t)=∑Sц(t-iTд) кодовых слов (столбец 3 табл.1), содержащих n двоичных символов, путем аналого-цифрового преобразования первичного сигнала Sп(t), выполняемого с периодом Tд дискретизации с шагом квантования d=Uш0/2n, в 2n раз меньшим шкалы Uш0 значений первичного сигнала Sп(t), затем формируют восстановленный первичный сигнал Sв(t) (значения Sв(t-iTд) этого сигнала в различные моменты дискретизации приведены в столбце 4 табл.1) путем цифроаналогового преобразования сформированной последовательности Sц(t) кодовых слов, после чего формируют разностный первичный сигнал SΔ(t)=Sп(t)-Sв(t) (значения SΔ(t-iТд) этого сигнала в различные моменты дискретизации приведены в столбце 5 табл.1) путем вычитания из первичного сигнала Sп(t) восстановленного первичного сигнала Sв(t), при этом шкала UшΔ=d значений разностного первичного сигнала равна шагу квантования d.

[32]

Сформированный разностный первичный сигнал SΔ(i), имеющий физический смысл погрешности квантования первичного сигнала Sп(t), подают с выхода определителя 2 погрешности квантования на вход усилителя 3, который усиливает разностный первичный сигнал SΔ(t) в 2n раз.

[33]

Усиленный в 2n раз разностный первичный сигнал SΔу(t)=2n×SΔ(t) (значения SΔу(t-iTд) этого сигнала в различные моменты дискретизации приведены в столбце 6 табл.1), шкала UшΔу=2n×d=Uш0 значений которого равна шкале Uш0 значений первичного сигнала Sп(t), подают с выхода усилителя 3 на вход аналого-цифрового преобразователя 4, на выходе которого формируют последовательность SΔц(t)=∑SΔц(t-iTд) кодовых слов (столбец 7 табл.1), содержащих n двоичных символов, путем аналого-цифрового преобразования усиленного в 2n раз разностного первичного сигнала SΔу(t), выполняемого с частотой Fд дискретизации с шагом квантования d=UшΔу/2n, в 2n раз меньшим шкалы Uш0 значений первичного сигнала Sп(t).

[34]

Сформированную последовательность SΔц(t) кодовых слов передают с передающей стороны по каналу 5 связи на приемную сторону.

[35]

На приемной стороне принимают полученную последовательность SΔц(t) кодовых слов (столбец 7 табл.1) и подают ее на вход преобразователя 6 кода, с помощью которого выполняют следующие операции: определяют приращение ΔSΔц(t-iTд)=SΔц(t-iTд)-SΔц[t-(i-1)Tд] (столбец 8 табл.1) значения каждого принятого кодового слова SΔц(t-iTд) по отношению к значению предыдущего принятого кодового слова SΔц[t-(i-1)Tд] и преобразуют полученную последовательность SΔц(t) кодовых слов по следующему правилу: при превышении значением модуля приращения значения каждого принятого кодового слова значения 2n-1×d=Uш0./2 половины шкалы Uш0 значений первичного сигнала Sп(t) и при отрицательном значении указанного приращения ΔSΔц(t-iTд) значение SΔцпр(t-iTд) каждого преобразованного кодового слова определяют путем суммирования значения соответствующего принятого кодового слова SΔц(t-iTд) и значения Uш0=2n×d шкалы первичного сигнала Sп(t); при превышении значением модуля приращения значения каждого принятого кодового слова значения 2n-1×d=Uш0./2 половины шкалы Uш0 значений первичного сигнала Sп(t) и при положительном значении указанного приращения SΔц(t-iTд) значение SΔцпр(t-iTд) каждого преобразованного кодового слова определяют путем вычитания из значения соответствующего принятого кодового слова SΔц(t-iTд) значения Uш0=2n×d шкалы первичного сигнала Sп(t); при превышении значения 2n-1×d=Uш0./2 половины шкалы Uш0 значений первичного сигнала Sп(t) значения модуля приращения значения каждого принятого кодового слова значение SΔцпр(t-iTд) каждого преобразованного кодового слова равно значению соответствующего принятого кодового слова SΔц(t-iTд).

[36]

Преобразованную последовательность SΔцпр(t)=∑SΔцпр(t-iTд) кодовых слов (столбец 9 табл.1) подают с выхода преобразователя 6 кода на вход интегрирующего цифроаналогового преобразователя 7, с помощью которого выполняют следующие операции: вначале формируют восстановленную преобразованную последовательность выборок SΔдпр(t)=∑Δупр(t-iTд) усиленного в 2n раз разностного первичного сигнала путем такого преобразования преобразованной последовательности SΔцпр(t)=∑SΔцпр(t-iTд) кодовых слов, что значение каждой выборки SΔупр(t-iTд) (столбец 10 табл.1) преобразованного усиленного в 2n раз разностного первичного сигнала равно значению SΔцпр(t-iTд) соответствующего преобразованного кодового слова, затем формируют восстановленную последовательность выборок Sду(t)=∑Sву(t-iTд) усиленного в 2n раз первичного сигнала путем преобразования восстановленной преобразованной последовательности выборок SΔдпр(t)=∑SΔупр(t-iTд) усиленного в 2n раз разностного первичного сигнала, для чего значение Sву(t-iTд) (столбец 11 табл.1) каждой восстановленной выборки усиленного в 2n раз первичного сигнала определяют путем суммирования значения Sву[t-(i-1)Тд] предшествующей восстановленной выборки усиленного в 2n раз первичного сигнала и соответствующего значения каждой выборки SΔупр(t-iTд) преобразованного усиленного в 2n раз разностного первичного сигнала, после чего восстанавливают усиленный в 2n раз первичный сигнал Sву(t)=2n×Sв(t) путем фильтрации полученной последовательности восстановленных выборок Sву(t)=∑Sву(t-iTд) усиленного в 2n раз первичного сигнала с помощью фильтра нижних частот с частотой среза Fср=Fд/2, равной половине частоты дискретизации.

[37]

Восстановленный усиленный в 2n первичный сигнал Sву(t) с выхода интегрирующего цифроаналогового преобразователя 7 подают на вход получателя 8 информации.

[38]

Предлагаемый способ цифровой передачи информации так же, как и известные способы цифровой передачи информации, предполагает формирование на передающей стороне первичного сигнала Sп(t) с динамическим диапазоном Dп=2n значений. В отличие от известных способов цифровой передачи информации предлагаемый способ цифровой передачи информации предполагает восстановление на приемной стороне усиленного в 2n раз первичного сигнала Sву(t)=2n×Sв(t) с динамическим диапазоном Dву=2n×Dп=22n значений.

[39]

При этом шаг d=Uш0/2n квантования первичного сигнала Sп(t) равен шагу квантования усиленного в 2n раз разностного первичного сигнала SΔу(t) и равен шагу квантования усиленного в 2n раз первичного сигнала Sву(t), из которого восстанавливают усиленный в 2n раз первичный сигнал Sву(t).

[40]

Поэтому максимальное значение δмакс.прмакс/(2n×Uш0)=1/22n относительной погрешности квантования при восстановлении на приемной стороне первичного сигнала согласно предлагаемому способу цифровой передачи информации обратно пропорционально динамическому диапазону Dву значений восстановленного первичного сигнала, что в 2n раз меньше, чем для известных способов цифровой передачи информации.

[41]

В случае необходимости восстановленный усиленный в 2n раз первичный сигнал Sву(t) ослабляют в 2n раз с помощью соответствующего аттенюатора, включаемого между интегрирующим цифроаналоговым преобразователем 7 и получателем 8 информации. При этом на вход получателя 8 информации подают восстановленный первичный сигнал Sв(t) (значения Sв(t-iTд) этого сигнала в различные моменты дискретизации приведены в столбце 12 табл.1) с динамическим диапазоном Dв=Dп=2n значений и шагом dв=Uш0/22n квантования. Поэтому максимальное значение δмакс.прмакс/(2n×Uш0)=1/22n относительной погрешности квантования при восстановлении на приемной стороне первичного сигнала также в 2n раз меньше, чем для известных способов цифровой передачи информации.

[42]

Таким образом, достигается технический результат - повышение точности передачи информации при фиксированных значениях динамического диапазона значений первичного сигнала и скорости передачи информации.

[43]

Литература

[44]

1. Радиотехнические системы передачи информации: Учеб. пособие для вузов / В.А.Борисов, В.В.Калмыков, Я.М.Ковальчук и др.; Под. ред. В.В.Калмыкова. - М.: Радио и связь, 1990, с.204-205.

[45]

2. Основы построения телекоммуникационных систем и сетей: Учебник для вузов / В.В.Крухмалев, В.Н.Гордиенко, А.Д.Моченов и др.; Под. ред. В.Н.Гордиенко и В.В.Крухмалева. - М.: Горячая линия - Телеком, 2004, с.238-239.

[46]

Как компенсировать расходы
на инновационную разработку
Похожие патенты