Настоящее изобретение относится к биотехнологии и медицине и раскрывает набор реагентов для оценки роста и деструкции фибринового сгустка. Набор реагентов характеризуется тем, что включает буферную соль и соль кальция ацетата, при этом он содержит ингибитор контактной активации системы свертывания и активатор плазминогена, где указанный ингибитор контактной активации и соль кальция ацетата в смеси с активатором плазминогена выполнены в виде лиофилизата с присадкой, а в качестве активатора плазминогена выбран рекомбинантный активатор плазминогена урокиназного типа. Изобретение позволяет повышать точность дозирования количества реагентов, увеличивать срок их хранения, набор удобен при использовании в процессе постановки теста. Набор для оценки роста и деструкции фибринового сгустка может быть использован для диагностики нейрозаболеваний по образцу плазмы крови. 1 з.п. ф-лы, 4 ил., 4 табл., 2 пр.
1. Набор реагентов для оценки роста и деструкции фибринового сгустка, включающий буферную соль, выбранную из HEPES буфера, и соль кальция ацетата, при этом он содержит ингибитор контактной активации системы свертывания (ИКА), представляющий собой кукурузный ингибитор фактора Хагемана, и активатор плазминогена, представляющий собой рекомбинантный активатор плазминогена урокиназного типа, где указанный ингибитор контактной активации и соль кальция ацетата в смеси с активатором плазминогена выполнены в виде лиофилизата с присадкой, представляющей собой поливинипиролидон (ПВП), причем массовое соотношение компонентов, подходящее для получения стабильной сухой формы первого реагента, а именно соотношение ИКА:ПВП:НЕРЕS, составляет 0,02:0,24:0,74, а также массовое соотношение компонентов, подходящее для получения стабильной сухой формы второго реагента, а именно соотношение кальция ацетата:р-Урокиназы:ПВП, составляет 0,7465:0,0004:0,2631. 2. Набор по п. 1, где активатор плазминогена берут предпочтительно в концентрации 105 ед./мл.
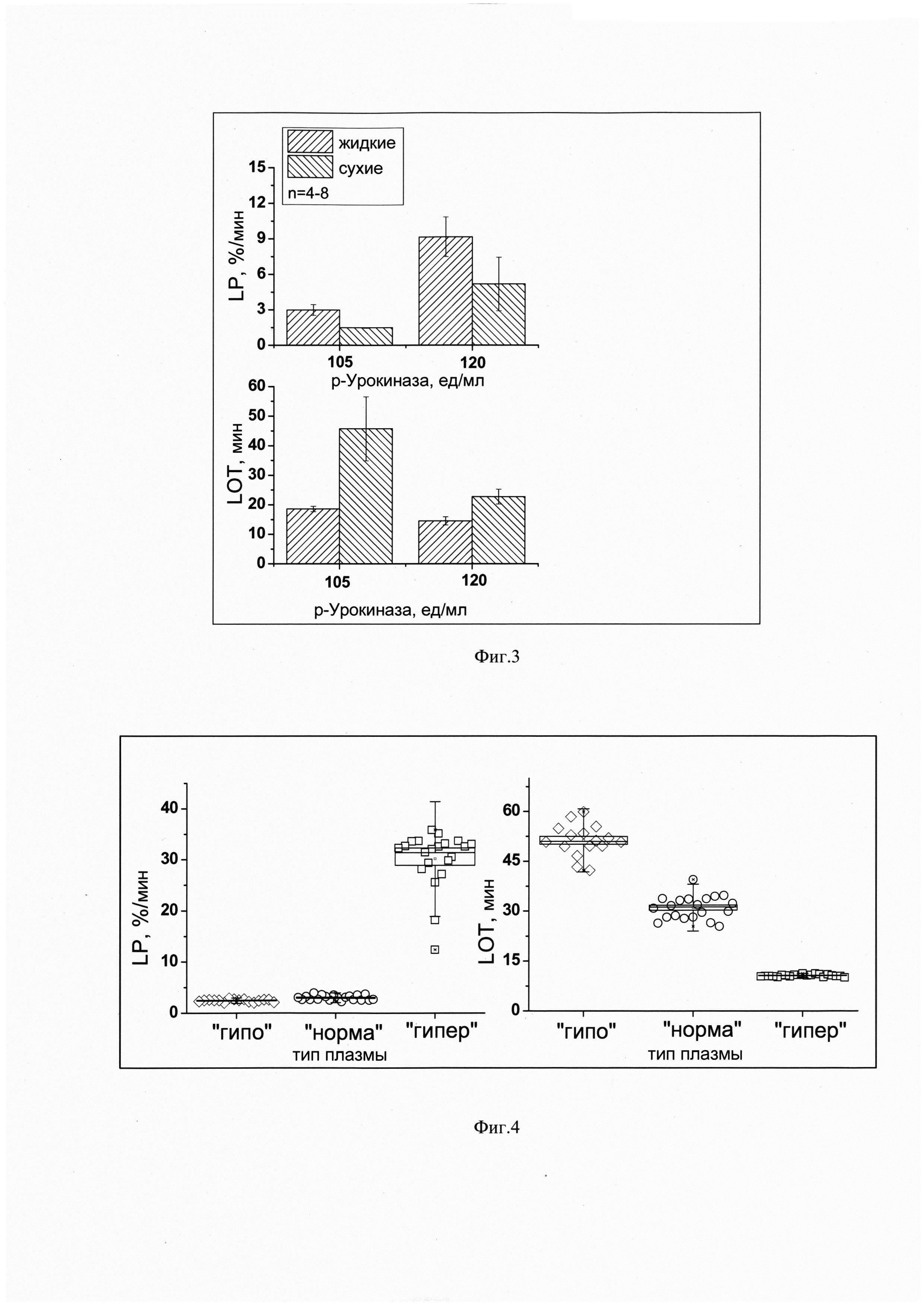
ОБЛАСТЬ ТЕХНИКИ Настоящее изобретение относится к биотехнологии и медицине, в частности, к набору для диагностики степени тяжести нейрозаболеваний по образцу плазмы крови. УРОВЕНЬ ТЕХНИКИ Согласно статистическим данным ВОЗ, нейрозаболевания, в частности, инсульт, являются второй причиной смертности в мире. Наиболее распространенным типом инсульта является ишемический инсульт (ИИ, патогенетически подразделяемый на атеротромботический, кардиоэмболический, лакунарный), формирующийся при окклюзии артерии, вследствие чего нарушается кровоснабжение той или иной области мозга. При ишемическом поражении в тканях мозга возникают лактатацидоз, цитотоксический отек, аноксическая деполяризация мембран и смерть клеток. Для всех форм инсульта характерно развитие нейровоспаления в очагах поражения тканей мозга. Нейровоспаление в неврологии является частным случаем системного неинфекционного воспаления и обычно связано с локальным повреждением гематоэнцефалического барьера и проникновением клеточных и плазменных элементов крови в паренхиму головного мозга. В результате чего в очаге инсульта наблюдается локальное появление клеток крови (макрофагов, нейтрофилов, лимфоцитов), фибриногена и выпадение фибрина и продуктов его деградации (ПДФ). Известно, что фибрин(оген) и ПДФ активно взаимодействуют с клетками микроглии, макрофагами и нейтрофилами в паренхиме мозга через образование комплекса с рецептором интегрина CD11b/CD18. При этом формируется ответ иммунной системы, сопровождающийся активной генерацией хемокинов, провоспалительных цитокинов и активных форм кислорода. Фибрин в центральной нервной системе (ЦНС) стимулирует инфильтрацию в очаг инсульта и последующую активацию миелин-специфических Т-клеток, которые вырабатывают аутоантитела к тканям мозга с последующими аутоиммунными расстройствами. При нейровоспалении также наблюдается фибрин(оген)-стимулируемая активация микроглии, которая приводит к апоптозу клеток мозга и гибели нейронов в очаге инсульта. В качестве биологических маркеров нейровоспаления используют оценку состояния систем свертывания и фибриндеструкции, а изучение специфики молекулярных механизмов фибриндиструкции открывает новые стратегии для мониторинга и лечения неврологических заболеваний. Изменение коагулологического - фибриндеструктивного статуса больного, коррелирующее с неврологическим статусом может быть использовано для диагностики нейрозаболеваний, оценки тяжести состояния больных ишемическим инсультом и прогнозирования исходов заболевания. Из уровня техники известны способы оценки состояния системы лизиса, которые основаны на определении времени и степени растворения сгустков крови или эуглобулиновой фракции плазмы крови (где в основном содержатся плазминоген и его активаторы, а ингибиторы фибринолиза удаляются), определении концентрации плазминогена и его активаторов, D-димеров. Косвенно фибринолиз оценивают глобальными тестами - тестом генерации тромбина и тромбоэластографией. Однако известные методики не способны оценить систему фибриндеструкцииа в целом, оценивая только ее составляющие части в отдельности. Основными реагентами, которые используются для исследования системы свертывания и последующей деструкции фибрина в лабораторной диагностике, являются агенты, ингибирующие контактную фазу, раствор соли кальция, активирующие смеси, дополнительные компоненты (субстраты, носители с антителами, отдельные факторы, буферные растворы и т.д.). Так из уровня техники известен набор, описанный в публикации американской заявки US 2008/0268483, кл. C12Q 1/56, G01N 33/86, где для исследования формирования и лизиса тромба (CloFAL) используют буферный раствор, реагент одного или более активаторов свертывания, таких, как тканевой фактор (TF) и/или тромбин, и одного или более активатора лизиса тромба, таких как тканевый активатор плазминогена (TPА). Буферный раствор может содержать TRIS-буферный солевой раствор хлористого кальция. Основным недостатком использования жидких реагентов в широкой практике является необходимость работы с растворами, которые нужно точно дозировать, что сказывается на качестве проведения теста, кроме того, приготовленные растворы, как правило, мало хранятся. В качестве ближайшего аналога заявляемого решения выбран набор, описанный в публикации евразийской заявки №201300544 от 06.06.2013 г., где для исследования роста фибринового сгустка используют реагенты в лиофилизированной форме, содержащие стабилизирующие и формирующие присадки, а в качестве активатора свертывания выбран тканевой фактор, мобилизованный на торце поверхности пластиковой вставки-активатора. Однако, недостатком указанного аналога является отсутствие возможности его использования при исследовании системы фибриндеструкции в полной мере и, как следствие, невозможность диагностики степени тяжести нейрозаболеваний по образцу плазмы крови. СУЩЕСТВО ЗАЯВЛЯЕМОГО РЕШЕНИЯ Активность фибриндеструкции пропорциональна остроте системного воспаления, которое, в свою очередь, пропорционально остроте нейровоспаления и тяжести состояния пациента при ишемическом инсульте (ИИ). У больных с ИИ при измерении пространственно-временных параметров лизиса фибринового сгустка определяется суммарная литическая активность, отражающая изменения нейрологического статуса больного. Изменение в системе фибриндеструкции у больных ИИ может быть использовано для оценки тяжести состояния больных острым ишемическим инсультом и в прогнозировании исходов заболевания. Поэтому крайне важно иметь возможность оперативно, точно и правильно диагностировать изменения/отклонения в работе системы фибриндеструкции в целом. Разработанный авторами тест оценки системы фибриндеструкции и набор реагентов для его проведения, позволяют качественно и количественно описать динамику процесса свертывания и фибриндеструкции, визуализируя процессы роста и лизиса фибринового сгустка в реальном времени. Задача, на решение которой направлено заявляемое изобретение, заключается в устранении недостатков аналогов, известных из уровня техники. Технический результат, который может быть получен при реализации заявляемого решения, заключается в повышении точности оценки состояния системы фибриндеструкции для последующего использования в диагностике нейрозаболеваний. Выбранная форма используемых реагентов (маркированные лиофилизированные аликвоты) позволяет быстро, комфортно и унифицировано проводить исследование, повышая качество тестирования. Точно дозируемое количество реагентов в виде сухой формы не приводит к дополнительному разбавлению исследуемого образца, что крайне важно при измерении параметров роста фибринового сгустка в плазме крови и его растворения, поскольку данное измерение подразумевает индивидуальное аликвотирование малого объема. Выбранные дополнительные компоненты обеспечивают долгое и безопасное хранение составляющих набора без угрозы бактериального загрязнения. Указанный технический результат обеспечивается подготовкой набора реагентов для диагностики степени нейровоспаления, включающего буферную соль и соль кальция ацетата, при этом он содержит ингибитор контактной активации системы свертывания и активатор плазминогена, где указанный ингибитор контактной активации и соль кальция ацетата в смеси с активатором плазминогена, выполнены в виде лиофилизата с присадкой, а в качестве активатора плазминогена выбран рекомбинантный активатор плазминогена урокиназного типа (р-Урокиназа). А также тем, что в качестве ингибитора контактной активации системы свертывания выбран кукурузный ингибитор фактора Хагемана. А также тем, что активатор плазминогена берут в концентрации 105 ед/мл. А также тем, что в качестве буферной соли выбран HEPES-буфер. А также тем, что в качестве присадки выбран поливинилпирролидон (ПВП 360000). С созданием авторами упомянутого набора возросло удобство постановки и качество теста определения состояний коагуляции и фибриндеструкции исследуемого образца плазмы крови. Полученные авторами маркированные аликвоты реагентов позволили быстро, комфортно и унифицировано проводить пробоподготовку теста. Предложенный авторами набор, включает в себя в качестве первого реагента -лиофилизированный ингибитор контактной активации системы свертывания с буфером и присадкой, и в качестве второго реагента - лиофилизированную соль кальция с активатором плазминогена и присадкой. Заявляемое техническое решение может быть проиллюстрировано следующими фигурами чертежей, где на Фиг.1 представлен внешний вид второго реагента после лиофильного высушивания с добавлением разных присадок, а также внешний вид второго реагента (лиофильная форма) после ускоренного хранения; на Фиг.2 приведены снимки, соответствующие 2 и 40-й минутам исследования пространственного роста и последующего лизиса фибринового сгустка; на Фиг.3 проиллюстрированы результаты сравнения параметров фибриндеструкции на референсной замороженной плазме до и после сушки для выбранных концентраций активатора плазминогена. Графическое представление параметров LP и LOT, где «столбец» представляет собой среднее значение для полученных данных, «усы» - 2SD; на Фиг.4 приведены сравнительные результаты для основных параметров фибриндеструкции с использованием «гипо-», «гипер-фибринолизных»- и нормальной плазм. Графическое представление параметров LP и LOT, где «коробочка» представляет собой среднее значение для полученных данных, «усы» - 2SD, точки - измеренные значения, горизонтальная линия - медиана данных. Для измерения параметров фибриндеструкции в исследуемом образце in vitro было предложено использовать специальный тест, разработанный заявителем, где пространственно-временная динамика свертывания крови инициирована локализованным активатором свертывания в условиях, близких к условиям свертывания крови in vivo, а начало процесса лизиса ускорено добавлением активатора фибриндиструкции. Для проведения теста образцы плазмы крови смешивают с первым и вторым реагентами через установленный промежуток времени и помещают в каналы измерительной кюветы, а затем исследуемый образец приводится в контакт с активатором свертывания. Процесс роста и лизиса фибринового сгустка регистрируется цифровой видеокамерой методом темного поля. Полученная серия снимков дает информацию о динамике коагуляции и фибриндеструкции в образце плазмы крови. На основе полученных снимков рассчитываются численные параметры динамики роста и фибриндеструкции, отображенные в таблице 1. Характерные времена свертывания плазмы и фибриндеструкции сгустка сильно отличаются, лизис in vitro наблюдается через десятки минут или часов, а образование сгустка занимает минуты. Однако, при определенных условиях, in vitro можно добиться относительного ускорения начала фибриндеструкции путем добавления небольших концентраций активатора лизиса. Было установлено, что для получения стабильной и качественной сухой формы первого реагента наилучшее соотношение компонентов, входящих в состав реагента (ингибитор контактной активации системы свертывания (ИКА), используемый для подавления артефактной активности системы свертывания, полученной в результате пробоподготовки; стабилизирующие и формирующие присадки) следующее: ИКА: ПВП: HEPES=0,02:0,24:0,74 (m/m). В качестве источника кальция была выбрана соль - кальция ацетат, позволяющая улучшить гигроскопические свойства реагента. С целью выбора рабочей концентрации эффектора фибриндеструкции, известного из уровня техники, для использования в наборе, изучали лизис фибринового сгустка, используя широкий диапазон концентраций р-Урокиназы. Для тестирования в референсную свежезамороженную плазму крови добавляли активатор фибринолиза в жидком виде в разных концентрациях, разбавление образца не превышало 6% (v/v). На Фиг.2 показаны снимки, соответствующие 2 и 40-й минутам исследования. При концентрации р-Урокиназы 75ед/мл до 40 мин наблюдался нормальный рост сгустка, к 40й минуте были видны первые признаки лизиса. При увеличении концентрации р-Урокинаы до 225ед/мл сгусток начинал растворяться раньше, чем успевал сформироваться, также имело место артефактное формирование спонтанных сгустков. По результатам предварительных исследований было решено приготовить лиофилизированную форму второго реагента с концентрацией р-Урокиназы 105 и 120 ед/мл. Лиофилизация производилась известным из аналога способом. После окончания процесса лиофилизации, продукт контролировали по показателям: внешний вид (таблетированная форма), тест на исследование пространственно-временной динамики свертывания и фибриндеструкции, концентрация ионов кальция. Значения концентрации кальция, измеренные в образцах до и после лиофилизации, находились в допустимых пределах. Для реагента с 105 ед/мл р-Урокиназы было получено значение концентрации, равное (20,6±0,6)мМ (среднее±SD), для 120 ед/мл р-Урокиназы - (19,1±0,3)мМ, при референсном диапазоне [17-23]мМ. Внешний вид реагента имел вид таблетки. На Фиг.3 приведено сравнение параметров фибриндеструкции с использованием референсной замороженной плазмы до и после лиофилизации второго реагента. Процесс лиофилизации активатора фибринолиза совместно с реагентом, содержащим соль кальция с присадками, приводил к снижению активности веществ, активирующих фибринолиз. Однако, остаточной активности было достаточно для уверенной фиксации процесса фибринолиза за время исследования (для минимальной достаточной концентрации 105ед/мл р-Урокиназы). Таким образом, было установлено, что для получения стабильной и качественной сухой формы второго реагента наилучшее соотношение компонентов, входящих в состав реагента, следующее: Кальция ацетат: р-Урокиназа: ПВП=0,7465:0,0004:0,2631 (m/m). Для установления гарантированного срока годности и стабильности второго реагента было проведено ускоренное хранение экспериментальных наборов, укомплектованных образцами реагента на основе р-Урокиназы в концентрации 105ед/мл при температуре 37С, в соответствии с ГОСТ Р ЕН 13640-2010. По истечению каждой временной точки хранения для образцов измеряли параметры коагуляции и лизиса, концентрацию кальция, проводили визуальный контроль. Тестирование расходного материала проводилось в соответствии с планом - графиком, через 0-6-14-25 дней хранения при 37С, соответственно. Критерием стабильности реагентов считали попадание значений проверяемых параметров в диапазон референсных значений. В Таблице 2 приведены значения параметров пространственно-временного свертывания, лизиса и измеренной концентрации кальция в указанных временных точках после хранения при 37С в суховоздушном термостате. Представлены средние значения±SD. Визуальный контроль: внешний вид реагентов сохранялся в виде плотной таблетки на протяжении 25 дней хранения. Значения параметров, измеренные для проверяемых реагентов, попадали в диапазоны указанных референсных значений на протяжении всего исследования, что свидетельствует о выполнении критерия стабильности реагентов. Время ускоренного хранения при 37С пересчитывали на время прямого хранения при температуре 4С по правилу Вант-Гоффа, получив: для 25 дней хранения при 37С рассчитываемое время хранения при 4С составило ~200 дней. Таким образом, по результатам проведенного ускоренного хранения, срок годности наборов, укомплектованных образцами второго реагента на основе р-Урокиназы, 105ед/мл составил не менее 6 месяцев при 4°С. Применение заявляемого набора далее иллюстрируется на неисчерпывающих примерах 1 и 2. Пример 1. Была проведена унифицированная постановка теста пространственно-временного свертывания и фибриндеструкции с использованием нормальной и модельных «гипер»- «гипофибринолизных» плазм. Для проведения теста 120 микролитров образца плазмы крови смешивали с готовыми, точно дозированными лиофилизированными аликвотами (в виде таблетки) первого и второго заявляемых реагентов и помещали в измерительную кювету, после чего приводили в контакт с активаторной вставкой - пластиковой пластиной с нанесенным на торец пластины активатором свертывания. От активирующей поверхности вглубь плазмы начинался рост фибринового сгустка и его последующий лизис.Параметры процессов рассчитывались после окончания тестирования, с помощью разработанного заявителем программного обеспечения. Модельную гиперфибринолизную плазму готовили, добавляя тканевой активатор плазминогена - Альтеплазу в плазму в конечной концентрации 0,02 мг/мл. Модельную гипофибринолизнуюплазму готовили, добавляя ингибитор активации плазминогена - транексамовую кислоту в плазму в конечной концентрации 0,0005 мг/мл. Были произведены повторные измерения с использованием второго реагента на основе р-Урокиназы, 105ед/мл для всех типов плазм. В таблице 3 приведены результаты измерений. Представлены средние значения±SD. Полученные измерения показывают, что время до начала лизиса на модельной гипо-плазме по лизису заметно выше, чем на нормальной плазме. На гипер- плазме наблюдается уменьшение времени до начала лизиса и заметно выше скорость лизиса, по сравнению с нормальной плазмой. Анализ на статистически достоверное различие распределений параметров Фибринолиза для различных типов плазм показал: - полученные параметры LP (динамика лизиса) для гипер-плазмы достоверно отличаются от нормальной и гипо-плазмы (критерий Вилкоксона, р<0.005). - полученные параметры LP для нормальной и гипо-плазмы, LOT (Время до начала лизиса) для всех типов плазм достоверно различаются (критерий независимого непарного t-test, р<0.005). Пример 2. Унифицированное проведение теста пространственно-временного свертывания и фибриндеструкции с использованием свежеприготовленной плазмы крови. Параметры роста фибринового сгустка и лизиса в норме и патологии. Заявляемый набор реагентов был использован для тестирования образцов свежеприготовленной патоплазмы с гиперфибринолизным статусом системы гемостаза (разновидность нейрологичекого заболевания, параноидная шизофрения). Приготовление исследуемого образца и проведение теста осуществлялось как в Примере 1. Полученные в результате типичных исследований количественные характеристики значений сведены в Таблице 4. Как видно из таблицы, значения параметров для патологических состояний отличаются от нормы в большую сторону (за исключением параметра Tlag, который ожидаемо находится в норме), соответственно, однозначно разделяя гиперфибринолизные состояния. Выше описанный пример подтверждает, что заявляемый набор реагентов может быть использован для тестирования патологических образцов нейрологичекой этиологии. Также подтверждает удобство их использования (таблетированная форма) и точность определения параметров теста за счет заранее аликвотированных реагентов.


