патент
№ RU 2393992
МПК C01B39/04

МИКРОМЕЗОПОРИСТЫЙ КРИСТАЛЛИЧЕСКИЙ МАТЕРИАЛ И СПОСОБ ЕГО ПОЛУЧЕНИЯ

Авторы:
Добрякова Ирина Вячеславовна Тихонова Анна Андреевна Кожина Ольга Викторовна
Все (6)
Номер заявки
2009109443/15
Дата подачи заявки
17.03.2009
Опубликовано
10.07.2010
Страна
RU
Как управлять
интеллектуальной собственностью
Чертежи 
6
Реферат

Изобретение относится к получению кристаллических материалов с микро-мезопористой структурой. Способ получения микро-мезопористого кристаллического материала включает взаимодействие микропористого кристаллического материала с раствором водорастворимого основания и ПАВ, промывку, сушку и прокаливание полученного материала, при этом взаимодействие осуществляют в одну стадию в растворе, содержащем 0,07-0,7 моль/л водорастворимого основания и 0,02-0,40 моль/л ПАВ при температуре 20-100°С в течение 1-24 ч. Полученный материал имеет высокую кристалличность и обладает бимодальной пористой структурой, включающей цеолитные микропоры с диаметром 0,4-1,0 нм и мезопоры с диаметром 2-30 нм, локализованные в объеме цеолитного кристалла. Доля микропор в общем объеме пор может варьироваться от 0,4 до 0,85, доля мезопор в общем объеме пор может варьироваться от 0,15 до 0,60. Изобретение позволяет улучшить качество микро-мезопористого материала, упростить способ получения и расширить ассортимент кристаллических материалов с микро-мезопористой структурой. 2 н. и 5 з.п. ф-лы, 1 табл., 6 ил.

Формула изобретения

1. Способ получения микромезопористого кристаллического материала, включающий взаимодействие микропористого кристаллического материала с раствором водорастворимого основания и поверхностно-активным веществом, промывку, сушку и прокаливание полученного материала, отличающийся тем, что взаимодействие осуществляют в одну стадию в растворе, содержащем 0,07-0,7 моль/л водорастворимого основания и 0,02-0,40 моль/л ПАВ, при температуре 20-100°С в течение 1-24 ч.

2. Способ по п.1, отличающийся тем, что на взаимодействие подают микропористые кристаллические алюмосиликаты со структурой FAU, СНА, LTL, FER, MAZ, MOR, BEA, MFI, MEL, MTN, MTT, MTW, MWW, TON.

3. Способ по п.1, отличающийся тем, что на взаимодействие подают микропористые кристаллические металлосиликаты со структурой BEA, MFI, MEL, MTN, MTT, MTW, MWW.

4. Способ по п.1, отличающийся тем, что на взаимодействие подают микропористые кристаллические силикаалюмофосфаты со структурой FAU, СНА, AEI, AFI, AFO.

5. Способ по п.1, отличающийся тем, что в качестве поверхностно-активного вещества на взаимодействие подают соль четвертичного алкиламмония, размер катиона которой выбирают в зависимости от заданного диаметра мезопор.

6. Микромезопористый кристаллический материал, полученный способом, охарактеризованным в п.1, обладающий бимодальной пористой структурой, включающей цеолитные микропоры с диаметром 0,4-1,0 нм и мезопоры с диаметром 2-30 нм, локализованные в объеме цеолитного кристалла.

7. Материал по п.6, отличающийся тем, что доля микропор в общем объеме пор составляет от 0,15 до 0,60, а доля мезопор в общем объеме пор составляет от 0,4 до 0,85.

Описание

[1]

Изобретение относится к неорганической химии, в частности к способам получения кристаллических цеолитных и цеолитоподобных материалов с микро-мезопористой структурой.

[2]

Известен способ получения цеолита с увеличенным объемом мезопор, в котором с целью увеличения объема мезопор с диаметром от 2 до 60 нм проводят гидротермальную обработку цеолита в водном растворе, содержащем одну или несколько солей, кислот, оснований и/или водорастворимых органических соединений при температуре, превышающей атмосферную точку кипения раствора (RU 2127227, 10.03.1999).

[3]

Недостатками данного способа являются:

[4]

- возможность реализации способа только для цеолита У;

[5]

- незначительная глубина воздействия на пористую структуру цеолита У, при которой объем мезопор в получаемом материале только на 5-10% выше, чем объем мезопор в исходном цеолите;

[6]

- снижение кристалличности образца за счет превращения кристаллической микропористой цеолитной фазы в аморфную мезопористую фазу;

[7]

- необходимость проведения гидротермальной обработки при температурах от 115 до 250°C, что требует использования специального оборудования для работы под давлением.

[8]

Известен способ получения бикомпонентного неорганического материала с комбинированной микро- и мезопористостью, включающий нагревание смеси, содержащей воду, источник неорганического оксида, кристаллический цеолит бета и органическое соединение, способное связываться с неорганическим оксидом водородными связями, выдерживание смеси при кипении до испарения воды и органического соединения, прокаливание смеси при температуре, превышающей 300°C (US 6814950, 09.11.2004).

[9]

Известен также способ получения материала, содержащего цеолит и пористый неорганический оксид, в котором 97% объема занято микропористым цеолитом из ряда: цеолит Бета, У, морденит, ZSM, MCM, ITQ, SAPO, AlPO и др., при этом цеолитовые частицы окружены мезопористыми каналами (US 7470645, 30.12.2008).

[10]

Недостатком известных материалов является то, что комбинированная микро-мезопористая структура относится только к одному из компонентов материала, а именно неорганическому оксиду, тогда как цеолитный компонент остается только микропористым.

[11]

Известен способ получения цеолитного композитного материала, включающий предобработку цеолита слоистой структуры, смешивание цеолита с неорганическим оксидом или его прекурсором в присутствии как минимум одного органического соединения, формирующего мезопоры, высушивание смеси, ее нагревание при температуре от 100 до 250°C для образования мезопористой структуры неорганического оксида, прокаливание смеси при 300-1000°C для удаления воды и органического соединения (US 7084087, 01.08.2006).

[12]

Недостатком данного способа является то, что в процессе приготовления материала мезопоры формируются только в неорганическом оксиде.

[13]

Наиболее близким по технической сущности и достигаемому результату является способ, согласно которому осуществляют суспендирование микропористых кристаллических силикатов с цеолитной структурой, имеющих состав состав T2O3*(10-1000)SiO2, где T - элементы, выбранные из группы, состоящей из p-элементов III группы или d-элементов IV-VIII группы, или их смеси, в щелочном растворе до достижения остаточного содержания цеолитной фазы в суспензии 1-60% мас., введение в суспензию силиката раствора катионного поверхностно-активного вещества с последующим добавлением кислоты до образования геля и гидротермальную обработку геля с выделением готового продукта. Изобретение обеспечивает получение материала, имеющего кристаллическую структуру исходного силиката и обладающего развитой регулярной пористой структурой с объемом пор не менее 0,45 см3/г (RU 2282587, 27.08.2006).

[14]

Недостатком известного способа является его многостадийность и перекристаллизация только части цеолитного материала в мезопористую фазу, при этом в получаемом материале доля микропор составляет 0,01-0,60, а доля мезопор составляет 0,10-0,85.

[15]

Задачей настоящего изобретения является создание нового типа кристаллического материала, обладающего бимодальной пористой структурой, включающей микропоры с диаметром 0,4-1,0 нм и однородные мезопоры с диаметром 2-30 нм, которые локализованы в объеме цеолитного кристалла, и разработка способа получения кристаллического материала с бимодальной пористостью, позволяющего формировать мезопоры заданного диаметра.

[16]

Поставленная задача решается описываемым способом получения микро-мезопористого кристаллического материала, включающим взаимодействие микропористого кристаллического материала с раствором водорастворимого основания и поверхностно-активного вещества (ПАВ), промывку, высушивание и прокаливание полученного материала, в котором взаимодействие осуществляют в одну стадию в растворе, содержащем 0,07-0,7 моль/л водорастворимого основания и 0,02-0,40 моль/л ПАВ при температуре 20-100°C в течение 1-24 ч.

[17]

Способ предусматривает, что на взаимодействие подают кристаллические микропористые алюмосиликаты со структурой FAU, CHA, LTL, FER, MAZ, MOR, BEA, MFI, MEL, MTN, MTT, MTW, MWW, TON, кристаллические микропористые металлосиликаты со структурой BEA, MFI, MEL, MTN, MTT, MTW, MWW или кристаллические микропористые силикаалюмофосфаты со структурой FAU, CHA, AEI, AFI, AFO.

[18]

На взаимодействие в качестве ПАВ предпочтительно подают соли четвертичного алкиламмония, размер катиона которой выбирают в зависимости от заданного размера мезопор.

[19]

Поставленная задача решается также описываемым микро-мезопористым кристаллическим материалом, полученным заявляемым способом, как он описан выше, при этом материал имеет бимодальную пористую структуру, включающую цеолитные микропоры с диаметром 0,4-1,0 нм, доля которых в общем объеме пор составляет от 0,15 до 0,60, и мезопоры с диаметром 2-30 нм, доля которых в общем объеме пор составляет от 0,4 до 0,85.

[20]

Ниже приведены конкретные примеры, описывающие заявленный способ, а также приведены свойства полученных материалов.

[21]

Для получения микро-мезопористых материалов были использованы микропористые кристаллические материалы разной цеолитной структуры и разного химического состава, свойства которых представлены в табл.1.

[22]

На фиг.1-6 представлены результаты анализа пористой и кристаллической структуры полученных материалов.

[23]

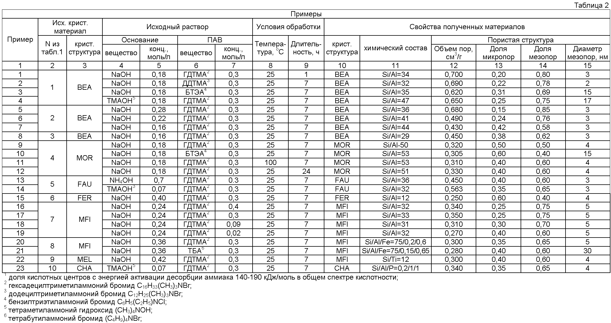
Таблица 1
Свойства исходных кристаллических микропористых материалов
NКристаллическая структураХимический составОбъем пор, см3Доля микропор в общем объеме пор
1BEAалюмосиликат, Si/Al-530,4500,40
2BEAалюмосиликат, Si/Al=400,2700,80
3BEAалюмосиликат, Si/Al=300,3500,50
4MORалюмосиликат, Si/Al=450,2250,75
5FAUалюмосиликат, Si/Al=420,4270,57
6FERалюмосиликат, Si/Al=100.1900.80
7MFIалюмосиликат, Si/Al=240,2100,75
8MFIжелезоалюмосиликат, Si/Al/Fe=75/0,5/0,50,2200,70
9MELтитаносиликат, Si/Ti=150,2100,80
CHAсиликаалюмофосфат, Si/Al/P=0,3/1/10.2200.75

[24]

Пример 1.

[25]

Микро-мезопористый материал приготавливают следующим образом. В 78 мл воды растворяют 0,55 г NaOH и 7,76 г гексадецилтриметиламмоний бромида C16H33(CH3)3NBr (ГДТМА), в полученном растворе концентрация NaOH составляет 0,18 моль/л, концентрация ГДТМА 0,3 моль/л. В полученный раствор добавляют 5 г микропористого кристаллического алюмосиликата со структурой BEA (образец 1, табл.1). Полученную суспензию перемешивают при комнатной температуре в течение 7 ч, после чего материал отделяют на фильтре, промывают дистиллированной водой, высушивают при 100°C в течение 24 ч и прокаливают при 550°C в течение 24 ч. В результате получают материал со структурой цеолита ВЕА, отношением Si/Al=34, объемом пор 0,7 см3/г, с долями микропор и мезопор 0,2 и 0,8 соответственно. Средний диаметр мезопор составляет 3 нм.

[26]

Пример 2.

[27]

Материал получают аналогично примеру 1, но в качестве соли четвертичного алкиламмония используют додецилтриметиламмоний бромид C12H25(CH3)3NBr. Свойства полученного материала представлены в табл.2.

[28]

Пример 3.

[29]

Материал получают аналогично примеру 1, но в качестве соли четвертичного алкиламмония используют бензилтриэтиламмоний бромид. Свойства полученного материала представлены в табл.2.

[30]

Пример 4.

[31]

Материал получают аналогично примеру 1, но в качестве водорастворимого основания используют гидроксид тетраметиламмония. Ионный обмен для этого материала не проводят. Свойства полученного материала представлены в табл.2.

[32]

Примеры 1-4 иллюстрируют получение микро-мезопористой структуры с разным диаметром мезопор путем изменения сочетаний водорастворимого основания и соли четвертичного алкиламмония. Фиг.1 изображает изотермы адсорбции азота (1а), кривые распределения объема пор по диаметру (1б) и ИК-спектры (1в) кристаллических алюмосиликатов со структурой BEA (образец 1, табл.1, примеры 1-4, табл.2). В соответствии с номенклатурой ИЮПАК наличие скачка на изотермах адсорбции азота свидетельствует о наличии мезопор в пористой структуре синтезированных материалов (1а). Кривые распределения объема пор по диаметру демонстрируют наличие мезопор строго определенного диаметра (1б). Сохранение совокупности полос поглощения в области 500-650 см-1 на ИК-спектрах микро-мезопористых материалов подтверждают сохранение высокой кристалличности образцов, а увеличение интенсивности названных полос поглощения (примеры 1/2, 3/2, 4/2) указывают на увеличение кристалличности (1в).

[33]

Пример 5.

[34]

Микро-мезопористый материал приготавливают следующим образом. В 78 мл воды растворяют 0,85 г NaOH и 7,76 г гексадецилтриметиламмоний бромида C16H33(CH3)3NBr (ГДТМА), в полученном растворе концентрация NaOH составляет 0,28 моль/л, концентрация ГДТМА 0,3 моль/л. В полученный раствор добавляют 5 г микропористого кристаллического алюмосиликата со структурой BEA (образец 2, табл.1). Полученную суспензию перемешивают при комнатной температуре в течение 7 ч, после чего материал отделяют на фильтре, промывают дистиллированной водой, высушивают при 100°C в течение 24 ч и прокаливают при 550°C в течение 24 ч. В результате получают материал со структурой цеолита BEA, отношением Si/Al=36, объемом пор 0,68 см3/г, с долями микропор и мезопор 0,15 и 0,85 соответственно. Средний диаметр мезопор составляет 3 нм.

[35]

Пример 6.

[36]

Материал получают аналогично примеру 5, но при этом в 78 мл воды растворяют 0,67 г NaOH и 7,76 г гексадецилтриметиламмоний бромида C16H33(CH3)3NBr (ГДТМА), в полученном растворе концентрация NaOH составляет 0,22 моль/л, концентрация ГДТМА 0,3 моль/л. Свойства полученного материала представлены в табл.2.

[37]

Пример 7.

[38]

Материал получают аналогично примеру 5, но при этом в 78 мл воды растворяют 0,48 г NaOH и 7,76 г гексадецилтриметиламмоний бромида C16H33(CH3)3NBr (ГДТМА), в полученном растворе концентрация NaOH составляет 0,16 моль/л, концентрация ГДТМА 0,3 моль/л. Свойства полученного материала представлены в табл.2.

[39]

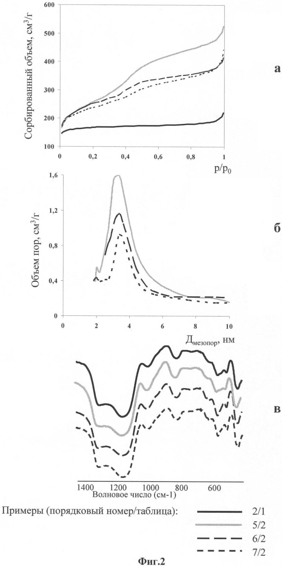
Примеры 5-7 иллюстрируют регулирование доли мезопор определенного диаметра путем изменения концентрации водорастворимого основания. Фиг.2 изображает изотермы адсорбции азота (2а), кривые распределения объема пор по диаметру (26) и ИК-спектры (2в) кристаллических алюмосиликатов со структурой BEA (образец 2, табл.1, примеры 5-7, табл.2). В соответствии с номенклатурой ИЮПАК увеличение интенсивности на изотермах адсорбции азота свидетельствует об увеличении доли мезопор в пористой структуре синтезированных материалов (2а). Кривые распределения объема пор по диаметру подтверждают наличие мезопор строго определенного диаметра (26), причем высота пика на кривых распределения пропорциональна интенсивности скачка на изотермах. Совокупность полос поглощения в области 500-650 см-1 на ИК-спектрах микро-мезопористых материалов подтверждает сохранение высокой кристалличности образцов, а увеличение интенсивности названных полос поглощения (примеры 6/2, 7/2) указывают на увеличение кристалличности (2в).

[40]

Пример 8.

[41]

Материал получают аналогично примеру 7, но при этом в полученный раствор добавляют 5 г микропористого кристаллического алюмосиликата со структурой BEA (образец 3, табл.1). Свойства полученного материала представлены в табл.2.

[42]

Примеры 1, 7, 8 иллюстрируют возможность образования микро-мезопористой структуры для цеолитов с одинаковой кристаллической структурой, но разным химическим составом. Фиг.3 изображает кривые распределения объема пор по диаметру (фиг.3,а), подтверждающие наличие мезопор в пористой структуре синтезированных материалов, и ИК-спектры (фиг.3,б), подтверждающие высокую кристалличность синтезированных материалов, для кристаллических алюмосиликатов со структурой BEA (примеры 1, 7, 8, табл.2).

[43]

Пример 9.

[44]

Материал получают аналогично примеру 1, но при этом в полученный раствор добавляют 5 г микропористого кристаллического алюмосиликата со структурой MOR (образец 4, табл.1). Свойства полученного материала представлены в табл.2.

[45]

Пример 10.

[46]

Материал получают аналогично примеру 9, но в качестве соли четвертичного алкиламмония используют бензилтриэтиламмоний бромид. Свойства полученного материала представлены в табл.2.

[47]

Пример 11.

[48]

Материал получают аналогично примеру 9, но полученную суспензию перемешивают в течение 7 ч при 100°C. Свойства полученного материала представлены в табл.2.

[49]

Пример 12.

[50]

Материал получают аналогично примеру 9, но полученную суспензию перемешивают при комнатной температуре в течение 24 ч. Свойства полученного материала представлены в табл.2.

[51]

Примеры 9, 11, 12 иллюстрируют получение микро-мезопористой структуры в стандартных мягких условиях (пример 9), условиях повышенной температуры (пример 11, 100°C) и увеличенной длительности обработки (пример 12, 24 ч). Фиг.4 изображает кривые распределения объема пор по диаметру (фиг.4,а) и ИК-спектры (фиг.4,б) кристаллических алюмосиликатов со структурой MOR (образец 4, табл.1, примеры 9, 11, 12, табл.2). Кривые распределения объема пор по диаметру подтверждают образование мезопор в материалах, полученных в разных условиях. ИК-спектры подтверждают, что осуществление способа при повышенной температуре и увеличенной длительности обработки не приводит к уменьшению кристалличности материалов. Уменьшение интенсивности полос поглощения в области 950 см-1, также как увеличение интенсивности и более четкое разделение полос поглощения около 600 см-1 указывают на увеличение кристалличности образцов при осуществлении способа при повышенной температуре обработки (100°C, пример 11, табл.2) или при увеличенной длительности обработки (24 ч, пример 12, табл.2).

[52]

Пример 13.

[53]

Микро-мезопористый материал приготавливают следующим образом. В 78 мл воды растворяют 7,6 г 25% раствора NH4OH и 7,76 г гексадецилтриметиламмоний бромида C16H33(CH3)3NBr (ГДТМА), в полученном растворе концентрация NH4OH составляет 0,7 моль/л, концентрация ГДТМА 0,3 моль/л. В полученный раствор добавляют 5 г микропористого кристаллического алюмосиликата со структурой FAU (образец 5, табл.1). Полученную суспензию перемешивают при комнатной температуре в течение 7 ч, после чего материал отделяют на фильтре, промывают дистиллированной водой высушивают при 100°C в течение 24 ч и прокаливают при 550°C в течение 24 ч. В результате получают материал со структурой цеолита FAU, отношением Si/Al=36, объемом пор 0,45 см3/г, с долями микропор и мезопор 0,4 и 0,6 соответственно. Средний диаметр мезопор составляет 3 нм.

[54]

Пример 14.

[55]

Материал получают аналогично примеру 13, но при этом в 78 мл воды растворяют 1,95 г 35% раствора ТМАОН и 7,76 г гексадецилтриметиламмоний бромида C16H33(CH3)3NBr (ГДТМА), в полученном растворе концентрация ТМАОН составляет 0,07 моль/л, концентрация ГДТМА 0,3 моль/л. Свойства полученного материала представлены в табл.2.

[56]

Пример 15.

[57]

Микро-мезопористый материал приготавливают следующим образом. В 78 мл воды растворяют 1,22 г NaOH и 10,3 гексадецилтриметиламмоний бромида C16H33(CH3)3NBr (ГДТМА), в полученном растворе концентрация NaOH составляет 0,4 моль/л, концентрация ГДТМА 0,4 моль/л. В полученный раствор добавляют 5 г микропористого кристаллического алюмосиликата со структурой FER (образец 6, табл.1). Полученную суспензию перемешивают при комнатной температуре в течение 7 ч, после чего материал отделяют на фильтре, промывают дистиллированной водой, высушивают при 100°C в течение 24 ч и прокаливают при 550°C в течение 24 ч. В результате получают материал со структурой цеолита FER, отношением Si/Al=12, объемом пор 0,25 см3/г, с долями микропор и мезопор 0,6 и 0,4 соответственно. Средний диаметр мезопор составляет 4 нм.

[58]

Пример 16.

[59]

Микро-мезопористый материал приготавливают следующим образом. В 78 мл воды растворяют 0,83 г NaOH и 10,3 г гексадецилтриметиламмоний бромида C16H33(CH3)3NBr (ГДТМА), в полученном растворе концентрация NaOH составляет 0,24 моль/л, концентрация ГДТМА 0,4 моль/л. В полученный раствор добавляют 5 г микропористого кристаллического алюмосиликата со структурой MFI (образец 7, табл.1). Полученную суспензию перемешивают при комнатной температуре в течение 7 ч, после чего материал отделяют на фильтре, промывают дистиллированной водой, высушивают при 100°C в течение 24 ч и прокаливают при 550°C в течение 24 ч в результате получают материал со структурой цеолита MFI, отношением Si/Al=32, объемом пор 0,34 см3/г, с долями микропор и мезопор 0,25 и 0,75 соответственно. Средний диаметр мезопор составляет 5 нм.

[60]

Пример 17.

[61]

Материал получают аналогично примеру 15, но при этом в 78 мл воды 0,83 г NaOH и 7,76 г гексадецилтриметиламмоний бромида C16H33(CH3)3NBr (ГДТМА), в полученном растворе концентрация NaOH составляет 0,24 моль/л, концентрация ГДТМА 0,3 моль/л. Свойства полученного материала представлены в табл.2.

[62]

Пример 18.

[63]

Материал получают аналогично примеру 15, но при этом в 78 мл воды 0,83 г NaOH и 2,33 г гексадецилтриметиламмоний бромида C16H33(CH3)3NBr (ГДТМА), в полученном растворе концентрация NaOH составляет 0,24 моль/л, концентрация ГДТМА 0,09 моль/л. Свойства полученного материала представлены в табл.2.

[64]

Пример 19.

[65]

Материал получают аналогично примеру 15, но при этом в 78 мл воды 0,83 г NaOH и 0,52 г гексадецилтриметиламмоний бромида C16H33(CH3)3NBr (ГДТМА), в полученном растворе концентрация NaOH составляет 0,24 моль/л, концентрация ГДТМА 0,0,02 моль/л. Свойства полученного материала представлены в табл.2.

[66]

Примеры 16-19 иллюстрируют образование микро-мезопористой структуры и регулирование доли мезопор при осуществлении способа в диапазоне концентраций ПАВ от 0,02 до 0,4 моль/л. Фиг.5 изображает кривые распределения объема пор по диаметру (фиг.5,а) и ИК-спектры (фиг.5,б) кристаллических алюмосиликатов со структурой MFI (образец 6, табл.1, примеры 16-19, табл.2). Кривые распределения объема пор по диаметру подтверждают образование мезопор в материалах, полученных в диапазоне концентраций ПАВ от 0,02 до 0,4 моль/л. ИК-спектры подтверждают, что осуществление способа в заявляемом диапазоне концентраций ПАВ не приводит к ухудшению кристалличности микро-мезопористых материалов: аналогично ИК-спектру исходного кристаллического алюмосиликата со структурой MFI в ИК-спектрах микро-мезопористых материалов сохраняются высокая интенсивность полосы поглощения 550 см-1 и высокое значение соотношения этой интенсивности к интенсивности полосы поглощения 450 см-1, что является свидетельством высокой кристалличности материалов.

[67]

Пример 20.

[68]

Микро-мезопористый материал приготавливают следующим образом. В 78 мл воды растворяют 1,1 г NaOH и 7,76 г гексадецилтриметиламмоний бромида C16H33(CH3)3NBr (ГДТМА), в полученном растворе концентрация NaOH составляет 0,36 моль/л, концентрация ГДТМА 0,3 моль/л. В полученный раствор добавляют 5 г микропористого кристаллического железоалюмосиликата со структурой MFI (образец 8, табл.1). Полученную суспензию перемешивают при комнатной температуре в течение 7 ч, после чего материал отделяют на фильтре, промывают дистиллированной водой, высушивают при 100°C в течение 24 ч и прокаливают при 550°C в течение 24 ч. В результате получают материал со структурой цеолита MFI, отношением Si/Al/Fe=75/0,2/0,6, объемом пор 0,30 см3/г, с долями микропор и мезопор 0,35 и 0,65 соответственно. Средний диаметр мезопор составляет 5 нм.

[69]

Пример 21.

[70]

Микро-мезопористый материал приготавливают следующим образом. В 78 мл воды растворяют 1,1 г NaOH и 7,3 г тетрабутиламмоний бромида (C4H9)4NBr (ТБА), в полученном растворе концентрация NaOH составляет 0,36 моль/л, концентрация ТБА 0,3 моль/л. В полученный раствор добавляют 5 г микропористого кристаллического железоалюмосиликата со структурой MFI (образец 8, табл.1). Полученную суспензию перемешивают при комнатной температуре в течение 7 ч, после чего материал отделяют на фильтре, промывают дистиллированной водой, высушивают при 100°C в течение 24 ч и прокаливают при 550°C в течение 24 ч. В результате получают материал со структурой цеолита MFI, отношением Si/Al/Fe=75/0,15/0,65, объемом пор 0,28 см3/г, с долями микропор и мезопор 0,4 и 0,6 соответственно. Средний диаметр мезопор составляет 30 (C4H9)4NBr нм.

[71]

Пример 22.

[72]

Микро-мезопористый материал приготавливают следующим образом. В 78 мл воды растворяют 1,28 г NaOH и 7,76 г. гексадецилтриметиламмоний бромида C16H33(CH3)3NBr (ГДТМА), в полученном растворе концентрация NaOH составляет 0,42 моль/л, концентрация ГДТМА 0,3 моль/л. В полученный раствор добавляют 5 г микропористого кристаллического титаносиликата со структурой MEL (образец 9, табл.1). Полученную суспензию перемешивают при комнатной температуре в течение 7 ч, после чего материал отделяют на фильтре, промывают дистиллированной водой, высушивают при 100°C в течение 24 ч и прокаливают при 550°C в течение 24 ч. В результате получают материал со структурой цеолита MEL, отношением Si/Ti=12, объемом пор 0,30 см3/г, с долями микропор и мезопор 0,4 и 0,6 соответственно. Средний диаметр мезопор составляет 4 нм.

[73]

Пример 23.

[74]

Микро-мезопористый материал приготавливают следующим образом. В 78 мл воды растворяют 1,95 г 35% раствора ТМАОН и 7,76 г гексадецилтриметиламмоний бромида C16H33(CH3)3NBr (ГДТМА), в полученном растворе концентрация ТМАОН составляет 0,07 моль/л, концентрация ГДТМА 0,3 моль/л. В полученный раствор добавляют 5 г микропористого кристаллического силикаалюмофосфата со структурой СНА (образец 10, табл.1). Полученную суспензию перемешивают при комнатной температуре в течение 7 ч, после чего материал отделяют на фильтре, промывают дистиллированной водой, высушивают при 100°C в течение 24 ч и прокаливают при 550°C в течение 24 ч. В результате получают материал со структурой цеолита CHA, отношением Si/Al/P=0,2/1/1, объемом пор 0,30 см3/г, с долями микропор и мезопор 0,4 и 0,6 соответственно. Средний диаметр мезопор составляет 4 нм.

[75]

Таким образом, как видно из приведенных выше примеров, получен новый тип кристаллических материалов, обладающих бимодальной пористой структурой, включающей микропоры с диаметром 0,4-1,0 нм, определяющимся типом исходной кристаллической микропористой структуры, и однородные мезопоры с диаметром 2-30 нм, локализованными в объеме цеолитного кристалла. Диаметр мезопор варьируется от 2 до 30 нм в зависимости от сочетания водорастворимого основания и ПАВ.

[76]

На Фиг.6,а представлено ПЭМ-изображение материала, полученного по предлагаемому способу (пример 9, табл.2), из которого очевидно следуют отсутствие изолированной мезопористой фазы и локализация мезопор в объеме цеолитного кристалла, тогда как на ПЭМ-изображении материала, полученного по способу-прототипу (Фиг.6,б), присутствуют две фазы - микропористая и мезопористая.

[77]

Как видно из приведенных выше примеров, достигнуто значительное увеличение объема пор микро-мезопористых материалов по сравнению с исходными микропористыми материалами за счет образования однородных по диаметру мезопор. Доля мезопор в объеме пор микро-мезопористого материала изменяется от 0,4 до 0,85 в зависимости от условий проведения процесса.

[78]

Как видно из приведенных выше примеров, достигнуто упрощение способа получения кристаллического материала с бимодальной пористостью, при котором процесс осуществляют в одну стадию при обеспечении высокого качества синтезированных продуктов. Полученные материалы сохраняют высокую кристалличность исходных цеолитов, а в некоторых случаях кристалличность возрастает.

[79]

Фиг.4,б изображает ИК-спектры кристаллических алюмосиликатов со структурой MOR: исходный материал, образец 4, табл.1, примеры 11 и 12, табл.2. Уменьшение интенсивности полос поглощения в области 950 см-1, также как увеличение интенсивности и более четкое разделение полос поглощения около 600 см-1 указывают на увеличение кристалличности образцов, полученных по заявляемому способу в наиболее жестких условиях - при повышенной температуре обработки (пример 11, табл.2) или увеличенной длительности обработки (пример 12, табл.2).

[80]

Как видно из приведенных выше примеров, достигнуто расширение спектра кристаллических структур, получаемых заявленным способом, при этом в качестве исходных микропористых материалов использованы кристаллические алюмосиликаты со структурой FAU, CHA, LTL, FER, MAZ, MOR, BEA, MFI, MEL, MTN, MTT, MTW, MWW, TON, кристаллические металлосиликаты со структурой BEA, MFI, MEL, MTN, MTT, MTW, MWW или силикаалюмофосфаты со структурой FAU, CHA, AEI, AFI, AFO.

[81]

Полученные материалы пригодны для осуществления различных сорбционных и каталитических процессов в качестве сорбентов, носителей, катализаторов, фильтрующих материалов.

[82]

Как компенсировать расходы
на инновационную разработку
Похожие патенты