патент
№ RU 2547662
МПК G04C10/02

СПОСОБ СЛИЧЕНИЯ ШКАЛ ВРЕМЕНИ И УСТРОЙСТВО ДЛЯ ЕГО ОСУЩЕСТВЛЕНИЯ

Авторы:
Колмогоров Олег Викторович
Номер заявки
2013158647/28
Дата подачи заявки
30.12.2013
Опубликовано
10.04.2015
Страна
RU
Как управлять
интеллектуальной собственностью
Чертежи 
3
Реферат

Изобретение относится к способам и устройствам сличения шкал времени удаленных объектов с применением оптоволоконной линии связи, соединяющей объекты. Устройство состоит из двух составных частей, размещенных на удаленных друг от друга объектах, и содержит на первом объекте таймер событий с присоединенными к нему генератором формирования шкалы времени этого объекта и приемником оптических импульсов, генератор оптических импульсов, подключенный к входу блока разветвителей-объединителей. При этом блок разветвителей-объединителей включает в себя оптоволоконный разветвитель, соединенный с оптоволоконным объединителем и разветвителем. Причем оптоволоконный объединитель соединен с входом приемника оптических импульсов и разветвителем, который соединен также с оптоволоконной линией связи, которая соединяет два удаленных объекта, систему передачи информации о временных интервалах, соединенную с таймером событий первого объекта. Второй объект содержит таймер событий, соединенный с генератором формирования шкалы времени этого объекта, приемник оптических импульсов второго объекта, связанный оптоволоконной линией связи с первым объектом, а также с таймером событий второго объекта, систему передачи информации о временных интервалах этого объекта, соединенную с таймером событий второго объекта. Технический результат заключается в повышении точности сличения или синхронизации за счет применения сигналов в оптическом диапазоне, увеличения надежности и оперативности за счет применения оптоволоконной линии связи, а также возможности сличения или синхронизации шкал времени между объектами, расположенн

Формула изобретения

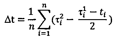
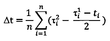
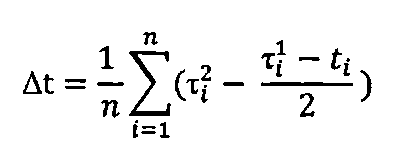
1. Способ сличения шкал времени в виде сигналов 1PPS на двух удаленных объектах, сформированных собственным генератором каждого объекта, путем генерации и регистрации оптических сигналов, определения временной задержки прихода оптических сигналов с одного объекта на другой методом обработки данных о моментах времени регистрации сигналов, по результатам которых производят сличение шкал времени, заключающийся в том, что на первом объекте генератором оптических импульсов за время сличения излучают последовательность из n оптических импульсов, фиксируют время излучения i-го оптического импульса в шкале времени этого объекта (ti), оптические импульсы направляют по оптоволоконной линии связи, соединяющей удаленные объекты, фиксируют время прихода оптических импульсов на второй объект в шкале времени этого объекта (τi2), в момент времени прихода каждого оптического импульса на второй объект в оптоволоконную линию связи с этого объекта на первый объект направляют обратный оптический импульс, фиксируют время прихода оптических импульсов на первый объект в его шкале времени (τi1), определяют расхождение шкал времени объектов Δt по формуле:
Δt=1ni=1n(τi2τi1ti2)
где n - количество оптических импульсов за время сличения,
τi2 - измеренное время прихода i-го оптического импульса в шкале времени второго объекта,
τi1 - измеренное время прихода обратного i-го оптического импульса в шкале времени первого объекта,
ti - измеренное время излучения i-го оптического импульса в шкале времени первого объекта.

2. Устройство для сличения шкал времени удаленных объектов, состоящее из двух составных частей, размещенных на удаленных друг от друга объектах, содержащее на первом объекте таймер событий с присоединенными к нему генератором формирования шкалы времени этого объекта и приемником оптических импульсов, генератор оптических импульсов, подключенный к входу блока разветвителей-объединителей, при этом блок разветвителей-объединителей включает в себя оптоволоконный разветвитель, соединенный с оптоволоконным объединителем и разветвителем, причем оптоволоконный объединитель соединен с входом приемника оптических импульсов и разветвителем, который соединен также с оптоволоконной линией связи, которая соединяет два удаленных объекта, систему передачи информации о временных интервалах, соединенную с таймером событий первого объекта, второй объект содержит таймер событий, соединенный с генератором формирования шкалы времени этого объекта, приемник оптических импульсов второго объекта, связанный оптоволоконной линией связи с первым объектом, а также с таймером событий второго объекта, систему передачи информации о временных интервалах этого объекта, соединенную с таймером событий второго объекта.

3. Устройство по п.2, отличающееся тем, что оптоволоконный разъем приемника оптических импульсов второго объекта дополнительно содержит полупрозрачное зеркало для увеличения мощности обратного оптического сигнала.

4. Устройство по п.2, отличающееся тем, что второй объект дополнительно содержит генератор обратных оптических импульсов и дополнительный оптоволоконный объединитель, причем выходной канал приемника оптических импульсов второго объекта соединен с генератором обратных оптических импульсов, выход которого соединен с оптоволоконным объединителем, один из входов которого соединен со входом приемника оптических импульсов, а выход с оптоволоконной линией связи.

5. Устройство по п.2, отличающееся тем, что на одном из объектов установлен компьютер, присоединенный к системе передачи информации для автоматического сличения шкал времени удаленных объектов.

6. Устройство по п.5, отличающееся тем, что компьютер подключается к генератору, формирующему шкалу времени данного объекта, для синхронизации шкал времени удаленных объектов.

7. Устройство по п.2, отличающееся тем, что в качестве генератора оптических импульсов на одном из объектов используется генератор электрических импульсов, соединенный с электронно-оптическим преобразователем, формирующим оптические импульсы, причем генератор электрических импульсов также соединен с таймером событий данного объекта.

8. Устройство по п.7, отличающееся тем, что генератор, формирующий шкалу времени данного объекта, соединен с генератором электрических импульсов.

9. Устройство по п.2, отличающееся тем, что оптоволоконная линия связи, соединяющая первый и второй объекты, с помощью технологии спектрального уплотнения используется в качестве системы передачи информации.

Описание

[1]

Известны способ и устройство сличения и синхронизации шкал времени между наземным пунктом и спутником с помощью односторонней и двухсторонней спутниковой лазерной дальнометрии (М.А. Садовников, А.А. Федотов, В.Д. Шаргородский Высокоточная односторонняя лазерная дальнометрия: состояние и перспективы применения в ГЛОНАСС, Труды Института прикладной астрономии РАН, вып.23, 2012), которые являются наиболее близкими аналогами к предлагаемым и выбраны в качестве прототипов; между наземными пунктами с помощью передачи, приема и переизлучения, приема радиоимпульса (П.И. Танцай, В.Г. Корниенко. Экспериментальные исследования точности синхронизации шкал времени в пространственно разнесенных пунктах методом запросной радиолокации, Доклады ТУСУРа, №2 (18), часть 2, декабрь 2008); между наземными пунктами с помощью передачи оптических импульсов по оптоволокну с применением оптоволоконного шлейфа (М.А. Садовников, А.А. Федотов, В.Д. Шаргородский. Высокоточная односторонняя лазерная дальнометрия: состояние и перспективы применения в ГЛОНАСС, Труды Института прикладной астрономии РАН, вып.23, 2012).

[2]

Из известных способов и устройств наиболее близкими к предлагаемым являются способ и устройство сличения или синхронизации шкал времени между наземным пунктом и спутником с помощью односторонней и двухсторонней спутниковой лазерной дальнометрии (М.А. Садовников, А.А. Федотов, В.Д. Шаргородский Высокоточная односторонняя лазерная дальнометрия: состояние и перспективы применения в ГЛОНАСС, Труды Института прикладной астрономии РАН, вып.23, 2012), которые и выбраны в качестве прототипов.

[3]

Устройство сличения и синхронизации шкал времени между наземным пунктом и спутником с помощью односторонней и двухсторонней спутниковой лазерной дальнометрии содержит на наземном пункте ведущие (эталонные) часы; лазерный передатчик, излучающий оптические импульсы; таймер событий, фиксирующий время излучения, приема отраженных импульсов в шкале времени наземного пункта; передающий телескоп; генератор на борту спутника, формирующий шкалу времени спутника; отражатель на борту спутника; приемник лазерных импульсов на борту спутника; таймер событий на борту спутника, фиксирующий время прихода импульсов в шкале времени часов спутника; приемный телескоп отраженных лазерных импульсов на наземном пункте; фотоприемник, фиксирующий время прихода отраженных лазерных импульсов в шкале времени ведущих часов; дополнительный канал информации для передачи данных о времени прихода импульсов в шкале времени одного из пунктов на другой пункт.

[4]

Основное достоинство способа односторонней и двухсторонней спутниковой лазерной дальнометрии состоит в том, что в нем исключается необходимость использования данных о длине трассы прохождения сигнала. Поэтому его точность в основном зависит от технических параметров наземных передатчика и приемника, бортового приемника, аппаратуры измерения временных интервалов.

[5]

Основным недостатком этого устройства является то, что средой передачи оптических импульсов служит атмосфера. Изменение прозрачности атмосферы приводит к значительным перепадам уровня мощности принимаемых сигналов, что снижает точность привязки времени приема импульсов к шкалам времени. При определенном уровне затухания мощности сигналов в атмосфере работа устройства становится невозможной. При этом длительность таких периодов неработоспособности в условиях РФ может составлять многие сутки.

[6]

Локальные флуктуации плотности воздуха при любых погодных условиях также приводят к изменению уровня мощности принимаемых сигналов, для борьбы с этим приходится применять дорогостоящие приемные и передающие телескопы с максимально большими апертурами.

[7]

Различное местоположение приемника и отражателя на борту спутника приводит к систематической ошибке в сличении шкал времени.

[8]

Возможна реализация данных способа и устройства между наземными пунктами, при этом необходима прямая видимость между ними, что в условиях современной застройки, как правило, не обеспечивается. Работоспособность такого устройства также очень сильно зависит от состояния атмосферы.

[9]

Также известен способ и устройство сличения и синхронизации шкал времени между наземными пунктами методом запросной радиолокации.

[10]

Устройство содержит генераторы сигналов ведущей и ведомой шкал времени, радиопередатчик ведущего пункта, излучающий радиоимпульс, таймер событий (измеритель интервалов времени), фиксирующий время излучения радиоимпульса в шкале времени ведущего пункта. Радиоимпульс принимается радиоприемником ведомого пункта, таймером событий фиксируется время приема радиоимпульса в шкале времени ведомого пункта. Передатчиком ведомого пункта с некоторой задержкой излучается ответный радиоимпульс, который принимается приемником ведущего пункта, время прихода фиксируется таймером событий, информация о задержке между отправленным и принятым ведущим пунктом импульсами передается на ведомый пункт по дополнительному каналу связи.

[11]

К недостаткам данного устройства-аналога относится применение импульсов в радиодиапазоне. Значительно меньшая частота несущей импульсов по сравнению с оптическим диапазоном обеспечивает заведомо меньшую точность сличения шкал времени. Другими недостатками являются необходимость переизлучения импульса, большая подверженность радиотрактов влиянию помех, зависимость времени прохождения сигналов от состояния атмосферы и земной поверхности.

[12]

Также известен способ и устройство сличения и синхронизации шкал времени между наземными пунктами методом передачи оптических импульсов по оптоволокну с применением оптоволоконного шлейфа.

[13]

Устройство содержит генератор сигналов эталонной шкалы времени, передатчик ведущего пункта, излучающий метку времени в виде оптического импульса в оптоволоконную линию связи от ведущего пункта до ведомого. Импульс принимается фотоприемником ведомого пункта, часть энергии импульса через оптоволоконный разветвитель направляется в оптоволоконный шлейф, проложенный параллельно основной линии и имеющий длину, строго равную двум длинам основной линии, поступает на фотоприемник ведомого пункта. Таймером событий на ведомом пункте фиксируется время прихода импульсов, прошедших по основной линии и через шлейф, с помощью компьютера определяется временная поправка к принятой метке времени, равная времени прохождения импульса по основной линии.

[14]

К недостаткам данного устройства-аналога относится применение оптоволоконного шлейфа, что требует наличия трех оптических волокон равной длины между пунктами. Под влиянием различных физических воздействий в процессе работы длины волокон могут изменяться по разному, что приводит к уменьшению точности передачи шкалы времени. Кроме того, требование равенства длин трех волокон не позволяет использовать в устройстве арендованные у операторов связи так называемые «темные» волокна.

[15]

Техническим результатом, получаемым от внедрения способа сличения шкал времени на двух удаленных наземных объектах, является повышение точности сличения или синхронизации за счет применения сигналов в оптическом диапазоне, увеличения надежности и оперативности за счет применения оптоволоконной линии связи, а также возможность сличения или синхронизации шкал времени между объектами, расположенными на значительном удалении в произвольных точках за счет использования только одного оптического волокна произвольной длины, в т.ч. «темного» волокна, арендуемого у операторов общедоступных сетей связи.

[16]

Данный технический результат достигается за счет того, что способ сличения шкал времени в виде сигналов 1PPS на двух удаленных объектах, заключается в том, что на первом объекте генератором оптических импульсов за время сличения излучают последовательность из n оптических импульсов, фиксируют время излучения i-го оптического импульса в шкале времени этого объекта (ti), оптические импульсы направляют по оптоволоконной линии связи, соединяющей удаленные объекты, фиксируют время прихода оптических импульсов на второй объект в шкале времени этого объекта (τi2), в момент времени прихода каждого оптического импульса на второй объект в оптоволоконную линию связи с этого объекта на первый объект направляют за счет отражения части энергии оптического импульса от торца оптоволоконной линии связи или с помощью генератора обратных оптических импульсов обратный оптический импульс, фиксируют время прихода обратных оптических импульсов на первый объект в его шкале времени (τi1), определяют расхождение шкал времени объектов Δt по формуле:

[17]

где n - количество оптических импульсов за время сличения,

[18]

τi2 - измеренное время прихода i-го оптического импульса в шкале времени второго объекта,

[19]

τi1 - измеренное время прихода обратного i-го оптического импульса в шкале времени первого объекта,

[20]

ti - измеренное время излучения i-го оптического импульса в шкале времени первого объекта.

[21]

Усреднение данных за время сличения по каждому i-му импульсу обеспечивает повышение точности сличения.

[22]

Особенностью и преимуществом указанного способа является то, что генератор оптических импульсов может находиться и на втором объекте, при этом оптические импульсы направляются по оптоволоконной линии связи на первый объект, обратные импульсы поступают на второй объект, фиксируется время отправки оптического импульса и прихода обратного в шкале времени второго объекта, фиксируется время прихода оптического импульса со второго объекта на первый в шкале времени первого объекта, по измеренным значениям определяется расхождение шкал времени объектов.

[23]

Техническим результатом, получаемым от внедрения устройства для сличения шкал времени удаленных объектов, является повышение точности сличения или синхронизации шкал времени между наземными пунктами за счет применения оптоэлектронных модулей, таймеров событий, генераторов с максимальной полосой пропускания, применение существующей серийно выпускаемой элементной базы с полосами пропускания 10 ГГц и более, что позволяет достигнуть точности сличения до 100 пс, а также увеличить расстояния между объектами, на которых проводится сличение шкал времени за счет применения полупрозрачного зеркала или системы генерации обратных импульсов.

[24]

Данный технический результат достигается за счет того, что устройство для сличения шкал времени удаленных объектов, состоящее из двух составных частей, размещенных на удаленных друг от друга объектах, содержит на первом объекте таймер событий с присоединенными к нему генератором формирования шкалы времени этого объекта и приемником оптических импульсов, генератор оптических импульсов, подключенный к входу блока разветвителей-объединителей, при этом блок разветвителей-объединителей включает в себя оптоволоконный разветвитель, соединенный с оптоволоконным объединителем и разветвителем, причем оптоволоконный объединитель соединен с входом приемника оптических импульсов и разветвителем, который соединен также с оптоволоконной линией связи, которая соединяет два удаленных объекта, систему передачи информации о временных интервалах, соединенную с таймером событий первого объекта, второй объект содержит таймер событий, соединенный с генератором формирования шкалы времени этого объекта, приемник оптических импульсов второго объекта, связанный оптоволоконной линией связи с первым объектом, а также с таймером событий второго объекта, систему передачи информации о временных интервалах, соединенную с таймером событий второго объекта.

[25]

Для увеличения мощности обратного оптического сигнала, поступающего со второго объекта на первый и, следовательно, увеличения возможного расстояния между объектами возможно применение полупрозрачного зеркала, размещенного в разъеме приемника оптических импульсов второго объекта или генератора обратных оптических импульсов на втором объекте.

[26]

Второй объект устройства может дополнительно содержать генератор обратных оптических импульсов и дополнительный оптоволоконный объединитель, причем выходной канал приемника оптических импульсов второго объекта соединен с генератором обратных оптических импульсов, выход которого соединен с оптоволоконным объединителем, один из входов которого соединен со входом приемника оптических импульсов, а выход с оптоволоконной линией связи.

[27]

Устройство для сличения шкал времени удаленных объектов на одном из объектов может содержать компьютер, присоединенный к системе передачи информации для автоматического сличения шкал времени удаленных объектов. Компьютер может быть подключен к генератору, формирующему шкалу времени данного объекта, для синхронизации шкал времени удаленных объектов.

[28]

В устройстве для сличения шкал времени удаленных объектов в качестве генератора оптических импульсов может быть использован на одном из объектов генератор электрических импульсов, соединенный с электронно-оптическим преобразователем, формирующим оптические импульсы, причем генератор электрических импульсов также соединен с таймером событий этого объекта. При этом генератор, формирующий шкалу времени данного объекта, может быть соединен с генератором электрических импульсов.

[29]

В устройстве для сличения шкал времени удаленных объектов оптоволоконная линия связи, соединяющая первый и второй объекты, может использоваться с помощью технологии спектрального уплотнения в качестве системы передачи информации.

[30]

Изобретения поясняются чертежами.

[31]

На фиг.1 представлена схема устройства для реализации способа сличения шкал времени удаленных объектов;

[32]

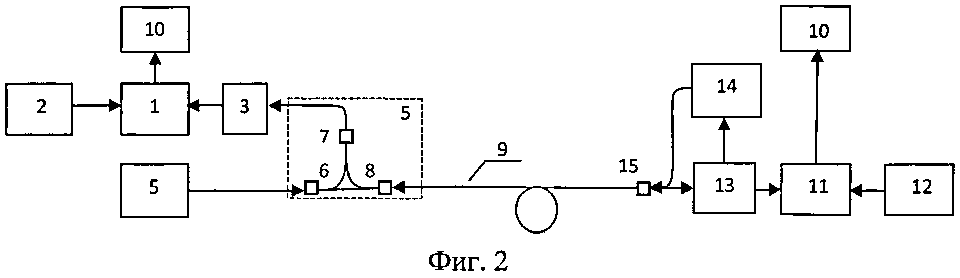
на фиг.2 представлена схема устройства с генератором обратных оптических импульсов;

[33]

на фиг.3 представлена схема устройства с автоматическим сличением и синхронизацией шкал времени удаленных объектов;

[34]

на фиг.4 представлена временная диаграмма работы устройства при расположении генератора оптических импульсов на первом объекте.

[35]

На фиг.1 показана схема устройства для сличения шкал времени удаленных объектов, которое содержит на первом объекте таймер событий 1, присоединенные к нему генератор 2 формирования шкалы времени этого объекта и приемник 3 оптических импульсов. Генератор 4 оптических импульсов на первом объекте подключен к входу блока 5 разветвителей-объединителей. Блок 5 разветвителей-объединителей состоит из оптоволоконного разветвителя 6, соединенного с оптоволоконным объединителем 7 и разветвителем 8, при этом оптоволоконный объединитель 7 соединен с входом приемника 3 оптических импульсов и разветвителем 8, который соединен также с оптоволоконной линией связи 9, которая соединяет два удаленных объекта. Устройство содержит систему передачи информации 10 о временных интервалах (например, сеть Ethernet, беспроводная сеть или др.), соединенную с таймерами 1 и 11 событий первого и второго объектов для вычисления расхождения шкал времени объектов.

[36]

Второй объект содержит таймер 11 событий, присоединенные к нему генератор 12 формирования шкалы времени этого объекта и приемник 13 оптических импульсов второго объекта, который соединен с оптоволоконной линией 9 связи, систему передачи информации 10 о временных интервалах.

[37]

Для увеличения мощности обратного оптического сигнала, поступающего со второго объекта на первый, и, следовательно, увеличения возможного расстояния между объектами возможно применение полупрозрачного зеркала (на чертеже не показано), размещенного в разъеме приемника 13 оптических импульсов второго объекта.

[38]

На фиг.2 показана схема устройства с генератором обратных оптических импульсов 14, электрический вход которого соединен с выходом приемника 13 оптических импульсов, а оптоволоконный выход через дополнительный оптоволоконный объединитель 15 соединен с оптоволоконной линией связи 9.

[39]

На фиг.3 показана схема устройства с автоматическим сличением и синхронизацией шкал времени объектов. При этом генератор оптических импульсов, состоящий из генератора электрических импульсов 16 и оптоэлектронного преобразователя 17, блок разветвителей-объединителей 5, компьютер 18 для автоматического сличения находятся на втором объекте. Первый объект содержит таймер событий 1, связанный с генератором формирования шкалы времени первого объекта 2, приемником оптических импульсов 3, связанным с оптоволоконной линией связи 9, системой передачи информации о временных интервалах 10.

[40]

Второй объект содержит таймер событий 11, связанный с генератором формирования шкалы времени этого объекта 12, генератор электрических импульсов 16, соединенный с электронно-оптическим преобразователем 17 с оптоволоконным выходом, формирующим оптические импульсы, а также с таймером событий 11 и генератором формирования шкалы времени второго объекта 12. Электронно-оптический преобразователь 17 через блок разветвителей-объединителей 5 связан с оптоволоконной линией связи 9. Компьютер 18 связан с системой передачи информации о временных интервалах 10, таймером событий 11, генератором формирования шкалы времени второго объекта 12.

[41]

Способ сличения шкал времени реализуется следующим образом.

[42]

На первом объекте за время сличения излучают последовательность из n оптических импульсов, фиксируют время излучения i-го оптического импульса в шкале времени этого объекта (ti), оптические импульсы направляют по оптоволоконной линии связи, соединяющей удаленные объекты, фиксируют время прихода оптических импульсов на второй объект в шкале времени этого объекта (τi2), в момент времени прихода каждого оптического импульса на второй объект в оптоволоконную линию связи с этого объекта на первый объект подают обратный оптический импульс, фиксируют время прихода оптических импульсов на первый объект в его шкале времени (τi1), определяют расхождение шкал времени объектов Δt по формуле:

[43]

[44]

где n - количество оптических импульсов за время сличения,

[45]

τi2 - измеренное время прихода i-го оптического импульса в шкале времени второго объекта,

[46]

τi1 - измеренное время прихода обратного i-го оптического импульса в шкале времени первого объекта,

[47]

ti - измеренное время излучения i-го оптического импульса в шкале времени первого объекта.

[48]

Усреднение данных за время сличения по каждому i-му импульсу обеспечивает повышение точности сличения.

[49]

Временная диаграмма работы устройства показана на Фиг.4, где A и B - шкала времени первого и второго объектов соответственно, tA и tB - секундные метки шкал времени первого и второго объектов соответственно.

[50]

Генератор оптических импульсов может находиться и на втором объекте, при этом оптические импульсы направляются по оптоволоконной линии связи на первый объект, обратные импульсы поступают на второй объект, фиксируется время отправки оптического импульса и прихода обратного в шкале времени второго объекта, фиксируется время прихода оптического импульса со второго объекта на первый в шкале времени первого объекта, по измеренным значениям определяется расхождение шкал времени объектов.

[51]

Устройство, реализованное в соответствии с фиг.1, работает следующим образом.

[52]

Оптический импульс с генератора оптических импульсов 4 поступает на вход блока разветвителей-объединителей 5, проходит через разветвитель 6, некоторая часть мощности оптического импульса через объединитель 7 поступает в приемник 3 оптических импульсов первого объекта, основная часть мощности импульса через разветвитель 8 поступает в оптоволоконную линию связи 9. Электрический сигнал с приемника 3 оптических импульсов поступает в таймер событий 1, который фиксирует момент излучения оптического импульса ti в шкале времени первого объекта, сформированной генератором 2 сигнала 1PPS, секундные метки которого также поступают в таймер событий 1. Информация о моменте излучения i-го оптического импульса по системе передачи информации 10, например сети Ethernet, беспроводной сети связи или другой направляется в пункт сличения шкал времени удаленных объектов.

[53]

Оптический импульс, пришедший по оптоволоконной линии связи на второй объект с некоторой временной задержкой τз, поступает в приемник 13 оптических импульсов второго объекта, который преобразует его в электрический сигнал, поступающий в таймер событий 11. Также в таймер событий 11 поступает сигнал 1PPS с генератора 12, формирующего шкалу времени второго объекта, что позволяет определить время τi2 прихода оптического импульса в шкале времени второго объекта. Информация о моменте прихода i-го оптического импульса по системе передачи информации (10) направляется в пункт сличения шкал времени удаленных объектов.

[54]

При этом часть мощности оптического импульса, пришедшего на второй объект, отражается от торца волокна или полупрозрачного зеркала в разъеме приемника 13 оптических импульсов второго объекта и проходит по линии связи 9 обратный путь. С временной задержкой, строго равной задержке в линии связи при прямом прохождении τз, отраженный импульс через разветвитель 8 и объединитель 7 поступает на вход приемника 3 оптических импульсов первого объекта. Сигнал с приемника 3 оптических импульсов поступает на вход таймера событий 1, который определяет время прихода оптического импульса τi1 в шкале времени первого объекта. Информация о моменте прихода i-го обратного оптического импульса по системе передачи информации 10 направляется в пункт сличения шкал времени удаленных объектов. На основании данных о значениях ti, τi1, τi2 определяют расхождение шкал времени Δt удаленных объектов Δt по формуле:

[55]

[56]

где n - количество оптических импульсов за время сличения,

[57]

τi2 - измеренное время прихода i-го оптического импульса в шкале времени второго объекта,

[58]

τi1 - измеренное время прихода обратного i-го оптического импульса в шкале времени первого объекта,

[59]

ti - измеренное время излучения i-го оптического импульса в шкале времени первого объекта.

[60]

Временная диаграмма работы устройства показана на фиг.4, где A и B - шкала времени первого и второго объектов соответственно, tA и tB - секундные метки 1PPS шкал времени первого и второго объектов соответственно.

[61]

Работа устройства, реализованного в соответствии с фиг.2, отличается тем, что в момент прихода оптического импулса на второй объект с приемника оптических импульсов 13 электрический сигнал поступает дополнительно на генератор обратных импульсов 14, который в этот момент времени генерирует оптический импульс, поступающий через оптоволоконный объединитель 15 в оптоволоконную линию 9 связи.

[62]

Устройство, реализованное в соответствии с фиг.3, работает следующим образом.

[63]

На втором объекте в качестве генератора оптических сигналов используется генератор электрических импульсов 16, соединенный с электронно-оптическим преобразователем 17, формирующим оптические импульсы, причем генератор электрических импульсов также соединен с таймером событий 11. Генератор, формирующий шкалу времени второго объекта 12, соединен с генератором электрических импульсов и по сигналу 1PPS генератор 16 формирует серию электрических импульсов, преобразуемых преобразователем 17 в серию оптических импульсов, поступающих на вход блока разветвителей-объединителей 5. Оптический импульс проходит через разветвитель 6, некоторая часть мощности оптического импульса через объединитель 7 поступает в приемник оптических импульсов 13 этого объекта, основная часть мощности импульса через разветвитель 8 поступает в оптоволоконную линию связи 9. Время отправки импульсов фиксируется в шкале времени этого объекта с помощью таймера событий 11, на вход которого также поступают сигналы 1PPS с генератора 12, формирующего шкалу времени этого объекта. Оптические импульсы, прошедшие через оптоволоконную линию связи 9, принимаются приемником оптических импульсов 3. Время прихода каждого оптического импульса в шкале времени первого объекта, формируемой генератором сигнала 1PPS 2, фиксируется таймером событий 1 и через систему передачи информации 10 направляется в компьютер 18. Часть мощности пришедшего на первый объект оптического импульса отражается от торца волокна или полупрозрачного зеркала в разъеме приемника оптических импульсов 3, проходит по оптоволоконной линии связи 9 обратно на второй объект и через разветвитель 8 и объединитель 7 поступает в приемник оптических импульсов 13, время прихода обратного импульса фиксируется таймером событий 11. В компьютер 18 поступает информация о временах излучения прямых и прихода обратных оптических импульсов в шкале времени второго объекта. На основании этих данных происходит автоматическое сличение шкал времени. По каналу связи между компьютером 18 и генератором 12 может происходить автоматическая синхронизация шкал времени путем введения необходимой задержки в шкалу времени второго объекта.

Как компенсировать расходы
на инновационную разработку
Похожие патенты