Использование: для высокоточного определения толщины сверхпроводящего слоя на ВТСП проводах второго поколения. Сущность изобретения заключается в том, что способ гравиметрического определения толщины сверхпроводящего слоя ВТСП проводов второго поколения включает следующие стадии: (А) изготовление эталонного образца из ВТСП провода, содержащего подложку, нанесенный на подложку по меньшей мере один буферный слой и нанесенный на буферный сверхпроводящий слой, где длина образца соответствует длине провода, при которой масса сверхпроводящего слоя составляет не менее 50 мг; (Б) измерение длины, ширины и массы эталонного образца; (В) растворение сверхпроводящего слоя эталонного образца в травильном растворе, не взаимодействующем с материалом буферного слоя, промывку упомянутого образца, сушку и измерение массы образца без сверхпроводящего слоя; (Г) определение толщины сверхпроводящего слоя образца с учетом растворенной массы. Технический результат: обеспечение возможности точного определения средней величины толщины слоя ВТСП на длинномерных образцах. 6 з.п. ф-лы, 2 ил., 3 табл.
1 Способ гравиметрического определения толщины сверхпроводящего слоя ВТСП проводов второго поколения, характеризующийся тем, что включает следующие стадии: (A) изготовление тестового образца из ВТСП провода, содержащего подложку, нанесенный на подложку по меньшей мере один буферный слой и нанесенный на буферный сверхпроводящий слой, где длина образца соответствует длине провода, при которой масса сверхпроводящего слоя составляет не менее 40 мг; (Б) измерение длины, ширины и массы тестового образца; (B) растворение сверхпроводящего слоя тестового образца в травильном растворе, не взаимодействующем с материалом буферного слоя, промывку упомянутого образца, сушку и измерение массы образца без сверхпроводящего слоя; (Г) определение толщины сверхпроводящего слоя образца с учетом растворенной массы. 2 Способ по п. 1, характеризующийся тем, что на стадии А изготавливают образцы с длиной от 0,5 до 1 м. 3 Способ по п. 1, характеризующийся тем, что образец на стадии А изготавливают из ВТСП провода, дополнительно содержащего по меньшей мере один защитный слой, расположенный на сверхпроводящем слое. 4 Способ по п. 3, характеризующийся тем, что перед стадией (В) осуществляют растворение защитного слоя тестового образца в травильном растворе, промывку упомянутого образца от раствора и продуктов растворения, сушку и измерение массы образца без защитного слоя, при этом растворение защитного слоя осуществляют в травильном растворе, не взаимодействующем с материалом сверхпроводящего слоя. 5 Способ по п. 1, характеризующийся тем, что тестовый образец изготавливают из ВТСП провода, содержащего в качестве сверхпроводящего слоя слой состава RBa2Cu3O7-x, где R=Y или Gd. 6 Способ по п. 5, характеризующийся тем, что растворение на стадии В осуществляют в водном растворе азотной кислоты. 7 Способ по п. 1, характеризующийся тем, что тестовый образец изготавливают из ВТСП провода, на который сверхпроводящий слой нанесен методом импульсного лазерного осаждения.
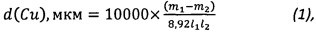
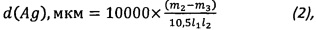
Область техники. Изобретение относится к области аналитической химии и может быть использовано для высокоточного определения толщины сверхпроводящего слоя на ВТСП проводах второго поколения, в частности, на основе РЗЭ-бариевых купратов на длинномерных металлических подложках с буферными оксидными слоями. Предшествующий уровень техники. Высокотемпературный сверхпроводящий (ВТСП) провод второго поколения представляет собой металлическую длинномерную ленту, на которой располагается многослойная тонкопленочная архитектура, включающую в себя нижние буферные оксидные слои, сверхпроводящий слой и верхние защитные металлические слои. В настоящее время наиболее востребованными ВТСП материалами являются РЗЭ-бариевые купраты общего состава RBa2Cu3O7-х (R=Y, Gd). Для высокой токонесущей способности сверхпроводящего слоя его создают в виде биаксиально-текстурированных пленок (толщиной 1-2 мкм), что достигается различными технологическими методами, основанными на создании биаксиальной текстуры в буферном слое [Goyal, IBAD] и последующей трансляции двуосной ориентации за счет эпитакси-ального роста по модели «куб-на-куб» слоя ВТСП на верхнем буферном слое. Буферные слои (общей толщиной 100-300 нм) представляют собой гетероструктуры на основе простых и сложных оксидов с параметрами кристаллической структуры, близкими к структуре сверхпроводника. Для защиты ВТСП слоя и его электродинамической стабилизации его покрывают металлическими слоями из серебра (1-3 мкм) и меди (10-20 мкм). Современные технологии получения ВТСП проводов второго поколения (например, методом импульсного лазерного осаждения) на длинномерных лентах позволяют получать образцы длиной несколько сотен метров с величиной плотности критического тока около 3*106 А/см2 (в собственном магнитном поле, 77 К) [SuperOx]. Процесс получения ВТСП слоя является технологически сложной задачей, т.к. на его токонесущую способность влияет множество факторов: толщина слоя, разориентация кристаллитов, кислородная нестехиометрия, соотношение элементов и пр. Одним из основных параметров процесса получения ВТСП провода является толщина слоя сверхпроводника, на которую влияют такие параметры, как скорость протяжки металлической подложки через зону осаждения и скорость роста пленки на подложке. Для выявления отклонений в технологическом процессе производства ВТСП провода, влияющих на толщину сверхпроводящего слоя, необходимо периодически проводить характеризацию тестовых образцов на выбранных контрольных участках набором физико-химических методов анализа. Для определения толщины сверхпроводящего слоя в составе ВТСП-проводов второго поколения при постоянном соотношении элементов по всей длине образца применяются стандартные методы анализа, которые можно разделить на прямые и косвенные. Косвенные методы (например, спектроскопические, масс-спектрометрические и др.) проводятся путем растворения тестового образца с последующим анализом содержания элементов в растворе. Данные методы позволяют оценить толщину пленки путем построения калибровочных графиков зависимости аналитического сигнала выбранного элемента от толщины, определенной для серии образцов прямыми методами. К косвенным методам можно отнести способ измерения толщины и гладкости поверхности сверхпроводящей оксидной пленки (см. JPH05149720) путем облучения пленки лазерным лучом, в процессе ее формирования на подложке. Способ основан на измерении интенсивности отраженного света от облученного участка пленки и вычислении разности фаз между отраженным лучом, образующим верхнюю поверхность пленки и другим отраженным лучом из нижней поверхности пленки. К прямым методам анализа толщины сверхпроводящего покрытия относятся методы визуализации ВТСП слоя, например, методами сканирующей электронной микроскопии и просвечивающей электронной микроскопии. Так, в заявке CN 105241697 раскрывается способ исследования толщины слоев ВТСП провода с использованием сканирующего электронного микроскопа, для чего готовят образцы путем разреза ленты в продольном направлении и последующей полировки в одном направлении. В заявке оговаривается, что разрез проводится проволокой, желательно, вольфрамовой с диаметром от 0,08 до 0,2 мм. Затем образец фиксируют с помощью проводящего материала и сечение подвергают анализу с использованием сканирующего электронного микроскопа. Технической проблемой известных технических решений является то, что методы визуализации ВТСП пленок требуют наличия дорогостоящего вакуумного оборудования, длительной пробоподготовки (в случае ПЭМ) и обладают слишком высокой локальностью (для СЭМ и ПЭМ - 10-50 мкм, что вносит высокую погрешность в определении средней величины толщины слоя ВТСП на длинномерных образцах и требует многократного повторения процедуры для сопоставления полученного результата с токонесущей способностью на длинномерных образцах. Раскрытие сущности изобретения. Изобретение позволяет устранить данную техническую проблему. Способ гравиметрического определения толщины сверхпроводящего слоя ВТСП проводов второго поколения, в соответствии с изобретением, включает следующие стадии: (A) изготовление тестового образца из ВТСП провода, содержащего подложку, нанесенный на подложку, по меньшей мере, один буферный слой и нанесенный на буферный сверхпроводящий слой, где длина образца соответствует длине провода, при которой масса сверхпроводящего слоя составляет не менее 40 мг; (Б) измерение длины, ширины и массы тестового образца; (B) растворение сверхпроводящего слоя тестового образца в травильном растворе, не взаимодействующим с материалом буферного слоя, промывку упомянутого образца, сушку и измерение массы образца без сверхпроводящего слоя; (Г) определение толщины сверхпроводящего слоя образца с учетом растворенной массы. В других воплощениях изобретения на стадии А изготавливают образцы с длиной от 0,5 до 1 м. Образец на стадии А может быть изготовлен из ВТСП провода, дополнительно содержащего, по меньшей мере, один защитный слой, расположенный на сверхпроводящем слое. В этом случае перед стадией (В) осуществляют растворение защитного слоя тестового образца в травильном растворе, промывку упомянутого образца от раствора и продуктов растворения, сушку и измерение массы образца без защитного слоя, при этом, растворение защитного слоя осуществляют в травильном растворе, не взаимодействующим с материалом сверхпроводящего слоя. Тестовый образец может быть изготовлен из ВТСП провода, содержащего в качестве сверхпроводящего слоя слой состава RBa2Cu3O7-х, где R=Y или Gd В этом случае растворение на стадии В осуществляют в водном растворе азотной кислоты. Тестовый образец может быть изготовлен из провода, на который сверхпроводящий слой нанесен методом импульсного лазерного осаждения. Сущность изобретения состоит в следующем. Предлагаемый способ представляет собой простой и высоко воспроизводимый метод определения толщины слоя ВТСП, основанный на прямом определении массы сверхпроводника путем постадийного растворения защитных металлических слоев и слоя ВТСП в серии растворов-травителей с взвешиванием образца на каждом этапе (см. фиг. 1). Гравиметрический метод определения толщин толстых покрытий широко используется в промышленности (например, лакокрасочной, электрохимической), однако в случае тонких пленок он обычно не применим вследствие высокой погрешности, т.к. масса смываемых пленок (1-3 мг) сопоставима с погрешностью взвешивания даже для весов I класса точности (±0,5-1 мг). Однако в случае ВТСП-проводов данный способ является эффективным, т.к. можно использовать тестовые образцы достаточной длины, соответствующей массе смываемой пленки сверхпроводника 40-100 мг (при длине образца около 50-100 см), что является легко измеряемым значением с высокой точностью (1-2%). Способ осуществляли следующим образом. Предложенный способ определения толщины слоя сверхпроводника был опробован на образцах, предоставленных ЗАО «СуперОкс». Для проведения анализа требуются аналитические лабораторные весы I класса точности по ГОСТ Р 53228-2008 и OIML R 76-1-201 (d=0,0001 г, е=0,001 г) с максимально допустимой массой взвешивания не менее 10 г. При проведении анализа требуется соблюдать правила работы с аналитическими весами, предусмотренные инструкцией к прибору. В качестве тары для помещения образца можно использовать емкости массой не более 10 г. Для апробации изобретения использовались аналитические весы Vibra НТ 224RCE (I класс точности). Тестовый образец изготавливали из стандартного ВТСП провода со следующим расположением слоев: Ag/ВТСП/Буферные слои/подложка из сплава Hastelloy. Для послойного удаления металлических защитных слоев на основе меди и серебра, а также для удаления ВТСП слоя использовали реагенты, приведенные в таблице 1. Общая методика определения толщины сверхпроводящего слоя (lx) для данного ВТСП провода известной ширины (l1, см) образом с двумя защитными последовательно расположенными слоями меди и серебра выглядела следующим: 1 - Изготовление образца, масса ВТСП слоя которого составляла более 40 -45 мг. 2 - Измерение длины образца (l2>50±0,05 см). 3 - Определение начальной массы образца (m1, ±0,0001 г). 4 - Растворение защитного слоя меди в насыщенном растворе FeCl3 при температуре 50°С в течение 15 мин. Промывка образца от раствора и продуктов травления сначала дистилированной водой, затем спиртом (этиловым или пропиловым). Сушка образца до полного удаления остатков жидкости с его поверхности. 5 - Определение массы образца без защитного слоя меди (m2, ±0,0001 г). 6 - Растворение защитного слоя серебра в растворе смеси Н2О2 (10%) и NH3 (5%) в течение 5 мин (температура <40°С). Промывка образца от раствора и продуктов травления сначала дистилированной водой, затем спиртом (этиловым или пропиловым). Сушка образца до полного удаления остатков жидкости с его поверхности. 7 - Определение массы образца без защитного слоя серебра (m3, ±0,0001 г). 8 - Растворение слоя ВТСП в растворе HNO3 (5%) до образования однородной поверхности слоя буферного оксида (0,5-1 мин). Промывка образца от раствора и продуктов травления сначала дистилированной водой, затем спиртом (этиловым или пропиловым). Сушка образца до полного удаления остатков жидкости с его поверхности. 9 - Определение массы образца без слоя ВТСП (m4, ±0,0001 г). На фиг. 1 приведена схема, иллюстрирующая процесс гравиметрического определения толщины (mn - масса образца на каждой стадии) сверхпроводящего слоя в ВТСП проводе второго поколения. На верхнем рисунке фиг. 1 показан образец ВТСП провода с массой m1, который содержит защитный слой на основе меди (1), защитный слой на основе серебра (2), слой ВТСП (3), буферные слои (4) и металлическую подложку (5). Следующий за этим рисунок на фиг. 1 показывает образец с растворенным слоем на основе меди, затем -образец с растворенным защитным слоем на основе серебра и, наконец, последний рисунок - образец с растворенным слоем ВТСП. Каждое измерение повторялось несколько раз (не менее трех) для повышения точности анализа. Для расчета толщин слоев использовались следующие формулы: Для GdBa2Cu3O7 ρВТСП=6,88 г/см3. Погрешность определения толщины сверхпроводящего слоя (нм) гравиметрическим методом без учета влияния внешних факторов рассчитывали следующим образом: l1 - длина образца, см l2 - ширина образца, см lx - толщина сверхпроводящего слоя, мкм Δ1 - погрешность взвешивания, указанная производителем весов, г. Δ2 - погрешность определения длины, см. Оценка погрешности определения толщины на основе формулы (4) для стандартного ВТСП провода шириной 12 мм на основе сверхпроводника GdBa2Cu3O7-x представлена в таблице 2. Таким образом, при использовании тестовых образцов длиной 50 см при стандартной толщине сверхпроводящего слоя в диапазоне 1-2 мкм гравиметрический способ позволяет определить его толщину с погрешностью не более 30 нм (менее 3%), что полностью удовлетворяет техническим требованиям и сопоставимо с результатами просвечивающей электронной микроскопии. В качестве примеров конкретного выполнения способа осуществляли расчет толщины ВТСП слоя по вышеописанной методике для образцов с защитным слоем из серебра (примеры 1 и 3, см. таблицу 3) и без защитного слоя (пример 2, табл. 3). Как следует из данных таблицы 3, предложенное техническое решение позволяет достаточно просто и легко, а также с высокой точностью измерить толщину сверхпроводящего слоя. Изобретение позволяет удешевить и ускорить настройку технологического оборудования для нанесения сверхпроводящих слоев и обеспечить контроль за производственным процессом при изготовлении длинномерных высокотемпературных сверхпроводящих (ВТСП) проводов второго поколения. Текст ниже иллюстрирует примеры использования предложенной методики гравиметрического определения толщины слоя ВТСП для настройки установки нанесения сверхпроводящего слоя методом импульсного лазерного осаждения Необходимо также отметить, что заявленный гравиметрический метод показал высокую эффективность при исследовании влияния параметров нанесения ВТСП слоя методом импульсного лазерного осаждения на толщину ВТСП слоя (фиг.2). В исследовании представлены зависимости толщины получаемого слоя сверхпроводника (d) в зависимости от энергии (Е) и частоты (w) импульсов лазера и скорости движения ленты (v). В теории d~E*w/v, что позволяет провести линеаризацию зависимостей толщин слоя ВТСП в координатах d-E, d-w, d-1/v. В случае зависимости d-E результаты, полученные методом гравиметрии, сопоставлены с данными толщин, полученных методом сканирующей микроскопии по 5-6 точкам на образцах. Видно, что в случае гравиметрического метода анализа толщины слоя сверхпроводника достигается высокая точность полученных данных, что позволяет определить зависимость толщины ВТСП слоя от энергии импульсов лазера с коэффициентом линейной корреляции 0,998. Аналогично высокая корреляция данных достигается в координатах d-w и d-1/v, что позволяет провести точную настройку оборудования и повысить производительность технологического процесса изготовления ВТСП-провода. Табл. 2. Рассчитанные величины погрешности гравиметрического анализа толщины сверхпроводящего слоя (нм) от геометрических характеристик образца ВТСП провода (шириной 12 мм) на основе GdBa2Cu3O7-x (Δ1=0,0005 г, Δ2=0,05 см). * - в скобках указана величина стандартного отклонения.

,


