патент
№ RU 2573181
МПК H01L21/42

СПОСОБ ЛАЗЕРНОЙ ОБРАБОТКИ НЕМЕТАЛЛИЧЕСКИХ ПЛАСТИН

Авторы:
Коваленко Александр Фёдорович
Номер заявки
2014146910/28
Дата подачи заявки
24.11.2014
Опубликовано
20.01.2016
Страна
RU
Как управлять
интеллектуальной собственностью
Чертежи 
1
Реферат

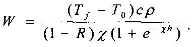
Изобретение относится к области технологических процессов и может быть использовано для лазерного отжига пластин из полупроводниковых, керамических и стеклообразных материалов. В заявленном способе лазерной обработки неметаллических пластин, заключающемся в облучении их поверхности импульсом лазерного излучения, измеряют толщину пластины h и показатель поглощения χ материала пластины на длине волны лазерного излучения, рассчитывают безразмерный параметр χh и при условии χh<4 делят исходный лазерный пучок на два пучка равной энергии и воздействуют одновременно на обе поверхности пластины с плотностью энергии, определяемой по соотношению:,где T- температура отжига; Т- начальная температура; с и ρ - удельная теплоемкость и плотность материала пластины соответственно; R - коэффициент отражения материала пластины; χ - показатель поглощения материала пластины на длине волны лазерного излучения; е - основание натурального логарифма. Техническим результатом изобретения является снижение энергетических затрат и повышение выхода годных пластин. 2 ил.

Формула изобретения

Способ лазерной обработки неметаллических пластин, заключающийся в облучении их поверхности импульсом лазерного излучения, отличающийся тем, что измеряют толщину пластины h и показатель поглощения χ материала пластины на длине волны лазерного излучения, рассчитывают безразмерный параметр χh и при условии χh<4 делят исходный лазерный пучок на два пучка равной энергии и воздействуют одновременно на обе поверхности пластины с плотностью энергии, определяемой по соотношению:

где Tƒ - температура отжига;
Т0 - начальная температура;
c и ρ - удельная теплоемкость и плотность материала пластины соответственно;
R - коэффициент отражения материала пластины;
χ - показатель поглощения материала пластины на длине волны лазерного излучения;
h - толщина пластины;
e - основание натурального логарифма.

Описание

[1]

Изобретение относится к области технологических процессов и может быть использовано для лазерного отжига пластин из полупроводниковых, керамических и стеклообразных материалов.

[2]

Известен способ обработки неметаллических материалов, применяемый для аморфизации кремния и заключающийся в облучении поверхности пластины импульсом лазерного излучения [1] с плотностью энергии, достаточной для плавления поверхностного слоя. Известен также способ обработки неметаллических материалов, применяемый для отжига ионно-легированного кремния [2]. Недостатком указанных способов является то, что они не учитывают термоупругие напряжения, возникающие в пластинах в процессе обработки. Так как обрабатываемые материалы являются частично прозрачными для воздействующего излучения, возможны такие режимы, при которых термоупругие напряжения, способные разрушить пластины, будут определяющими в технологических процессах.

[3]

Также известен способ обработки неметаллических материалов [3], в котором обработка пластин осуществляется путем облучения поверхности импульсом лазерного излучения. Временная форма импульса описывается определенным соотношением в зависимости от плотности потока энергии лазерного излучения, констант b1 и b2, характеризующих фронт и спад лазерного импульса, от длительности лазерного импульса, текущего времени от начала воздействия, плотности энергии и максимального значения плотности потока лазерного излучения в импульсе. Эффект достигается тем, что формируют лазерный импульс, временная форма которого описывается соотношением

[4]

[5]

где q(t) - плотность мощности лазерного излучения, Вт/м2;

[6]

τ - длительность импульса лазерного излучения, с;

[7]

b1 и b2 - константы, характеризующие фронт и спад лазерного импульса;

[8]

е - основание натурального логарифма;

[9]

t - текущее время от начала воздействия, с.

[10]

Указанный способ позволяет минимизировать термоупругие напряжения в поглощающем слое материала пластины при воздействии лазерных импульсов длительностью менее 10-6 с, когда рассматривается динамическая задача термоупругости [4]. Но этот способ не работает, когда длительность лазерного импульса составляет ~10-2-10-6 с и необходимо рассматривать квазистатическую задачу термоупругости.

[11]

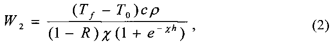
Известен способ лазерной обработки [5], в частности, используемый для лазерного отжига неметаллических пластин, в котором плотность энергии на поверхности пластины определяется по соотношению

[12]

[13]

где Tƒ - температура отжига;

[14]

Т0 - начальная температура;

[15]

с и ρ - удельная теплоемкость и плотность материала пластины соответственно;

[16]

R - коэффициент отражения материала пластины;

[17]

χ - показатель поглощения материала пластины на длине волны лазерного излучения.

[18]

Как правило, необходим лазерный отжиг двух поверхностей пластины. Указанным способом вначале производят воздействие на одну поверхность пластины или партии пластин с плотностью энергии в импульсе, определяемой уравнением (1), затем - на вторую. Применение лазерного отжига приводит к релаксации остаточных напряжений в приповерхностном слое пластин, возникающих при их шлифовке и полировке абразивом, а также устраняет неоднородности структуры при напылении тонких пленок, что позволяет повысить лучевую стойкость пластин, используемых в лазерной технике.

[19]

Этот способ выбран в качестве прототипа. Недостатком указанного способа является то, что он не позволяет минимизировать термоупругие напряжения и уменьшить энергетические затраты в процессе обработки.

[20]

Техническим результатов изобретения является снижение энергетических затрат и повышение выхода годных пластин за счет уменьшения термоупругих напряжений при лазерном отжиге пластин из неметаллических материалов, обладающих объемным поглощением лазерного излучения, например из полупроводниковых, керамических и стеклообразных материалов.

[21]

Технический результат достигается тем, что в способе лазерной обработки неметаллических пластин, заключающемся в облучении их поверхности импульсом лазерного излучения, измеряют толщину пластины h и показатель поглощения χ материала пластины на длине волны лазерного излучения, рассчитывают безразмерный параметр χh и при условии χh<4 делят исходный лазерный пучок на два пучка равной энергии и воздействуют одновременно на обе поверхности пластины с плотностью энергии, определяемой по соотношению:

[22]

[23]

где Tƒ - температура отжига;

[24]

Т0 - начальная температура;

[25]

с и ρ - удельная теплоемкость и плотность материала пластины соответственно;

[26]

R - коэффициент отражения материала пластины;

[27]

χ - показатель поглощения материала пластины на длине волны лазерного излучения.

[28]

Способ осуществляется следующим образом.

[29]

Для осуществления лазерного отжига пластины из неметаллического материала ее обе поверхности одновременно подвергают воздействию лазерных импульсов одинаковой плотности энергии. На фиг. 1 представлена лазерная установка, позволяющая осуществить такое воздействие. Установка содержит импульсный лазер (1), работающий в режиме свободной генерации, телескопический преобразователь диаметра пучка, включающий собирающую линзу (2) и рассеивающую линзу (3), расположенные софокусно для уменьшения диаметра лазерного пучка. Если необходимо увеличить диаметр пучка, первой размещают рассеивающую линзу, второй - собирающую с соответствующими фокусными расстояниями. Диэлектрическим зеркалом (4) с коэффициентом отражения R=0,5 лазерный пучок делится на два пучка равной плотности энергии лазерного излучения и при помощи призм (5), (6) и (7) направляется на обе поверхности обрабатываемой пластины (8).

[30]

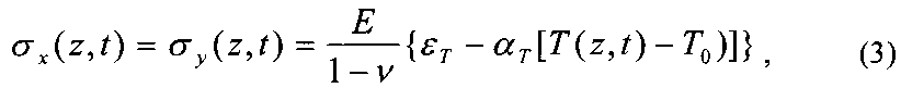
Для предотвращения изгиба пластины при обработке ее, как правило, свободно защемляют по контуру [5, 6]. Пластина полностью накрывается лазерным излучением. В этом случае температурное поле в пластине будет изменяться только по ее толщине. В свободно защемленной по контуру пластине под действием температурного поля, изменяющегося только по толщине, возникают термоупругие напряжения [6]:

[31]

[32]

где:

[33]

Е - модуль Юнга материала пластины;

[34]

ν - коэффициент Пуассона материала пластины;

[35]

αТ - коэффициент линейного расширения материала пластины;

[36]

T (z, t) - температура в точке с координатой z в момент времени t;

[37]

z - координата, отсчитываемая от облучаемой поверхности пластины вглубь.

[38]

Уравнения (3) и (4) показывают, что максимальные растягивающие напряжения возникают в том сечении пластины, где температура минимальна.

[39]

Если выполняется условие

[40]

[41]

то температурное поле в пластине к концу действия лазерного импульса при первом способе воздействия, представленном в прототипе [5], будет определяться уравнением (6)

[42]

[43]

а - коэффициент температуропроводности материала пластины;

[44]

τu - длительность лазерного импульса;

[45]

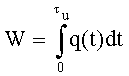
W=0uτq(t)dt - плотность энергии лазерного излучения.

[46]

Условие (5) для большинства полупроводниковых, стеклообразных и керамических материалов выполняется при τu<0,01 с.

[47]

Из уравнения (6) найдем плотность энергии лазерного излучения, необходимую для достижения облучаемой поверхности z=0 температуры отжига

[48]

[49]

При предлагаемом способе вследствие воздействия на обе поверхности температурное поле в пластине будет определяться соотношением

[50]

[51]

Из уравнения (8) найдем плотность энергии лазерного излучения, необходимую для достижения облучаемыми поверхности z=0 и z=h температуры отжига

[52]

[53]

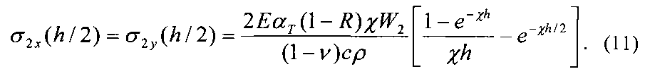
Подставив (6) и (8) в (4) и (3) и выполнив математические преобразования, получим соотношения для расчета максимальных растягивающих термоупругих напряжений, возникающих в сечении пластины z=h, где температура минимальна, для первого способа (прототипа) воздействия лазерного излучения на поверхность пластины

[54]

[55]

и для предлагаемого способа воздействия в сечении z-h/2, где температура минимальна

[56]

[57]

Если максимальные растягивающие напряжения превысят предел прочности материала пластины на растяжение, она будет разрушена термоупругими напряжениями. Так как предел прочности материала имеет разброс от образца к образцу и в различных партиях пластин вследствие дефектов, неизбежен брак в процессе их обработки.

[58]

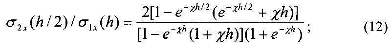
Для оценки положительного эффекта найдем отношения:

[59]

[60]

[61]

На фиг. 2 представлены зависимости указанных отношений от безразмерного параметра χh. Видно, что положительный эффект по уменьшению энергетических затрат проявляется при χh<5 и может приводить к экономии до 50% энергии излучения лазера при χh~0,l. Уменьшение максимальных растягивающих напряжений при реализации описанного способа обработки проявляется при χh<4. Максимальные растягивающие напряжения могут быть уменьшены, например, более чем в 10 раз при χh<0,8, что должно существенно повысить выход годных пластин при высокотемпературном лазерном отжиге.

[62]

При χh>5 оба способа обработки требуют практически одинаковых энергетических затрат, но максимальные растягивающие напряжения при обработке предложенным способом будут примерно в 2 раза больше. Поэтому при χh>5 предложенный способ применять нецелесообразно.

[63]

Таким образом, реализация предложенного способа лазерной обработки неметаллических пластин приводит к уменьшению энергетических затрат и повышению выхода годных пластин за счет снижения максимальных растягивающих напряжений в обрабатываемых пластинах при значении безразмерного параметра χh<4.

[64]

Литература

[65]

1. Боязитов P.M. и др. Аморфизация и кристаллизация кремния субнаносекундными лазерными импульсами. Тезисы докладов Всесоюзной конференции по взаимодействию оптического излучения с веществом. Ленинград. 11-18 марта 1988 г., с. 24.

[66]

2. Кузменченко Т.А. и др. Лазерный отжиг ионно-легированного кремния излучением с длиной волны 2,94 мкм. Тезисы докладов Всесоюзной конференции по взаимодействию оптического излучения с веществом. Ленинград. 11-18 марта 1988 г., с. 29.

[67]

3. Атаманюк В.М., Коваленко А.Ф. Левун И.В., Федичев А.В. Способ обработки неметаллических материалов. Патент RU 2211753 С2. Опубл. 10.09.2003. Бюл. №25.

[68]

4. Коваленко А.Ф. Экспериментальная установка для исследования влияния параметров лазерного импульса на разрушение неметаллических материалов // Приборы и техника эксперимента. - 2004. №4.-С. 119-124.

[69]

5. Коваленко А.Ф. Неразрушающие режимы импульсного лазерного отжига стеклянных и керамических пластин // Стекло и керамика. 2006. №7. С. 31-33.

[70]

6. Коваленко А.Д. Термоупругость. Киев: Вища школа, 1973. - 216 с.

[71]

7. Лазерная и электронно-лучевая обработка материалов: Справочник / Н.Н. Рыкалин, А.А. Углов, И.В. Зуев, А.Н. Кокора. - М.: Машиностроение, 1985. - 496 с.

Как компенсировать расходы
на инновационную разработку
Похожие патенты